Loading...

Skip to main content
Call us at +1-800-604-9114 for more information about our products or contact us online Need help? +1-800-604-9114 or contact us

Bovine Actin Gamma 2, Smooth Muscle ELISA Kit | ACTgamma2 elisa kit

Bovine Actin Gamma 2, Smooth Muscle ELISA Kit

Average rating 0.0
No ratings yet
Gene Names
ACTG2; ACT; ACTE; VSCM; ACTA3; ACTL3; ACTSG
Reactivity
Bovine
Synonyms
Actin Gamma 2, Smooth Muscle; N/A; Bovine Actin Gamma 2, Smooth Muscle ELISA Kit; ACTgamma2 elisa kit
Ordering
Reactivity
Bovine
Specificity
No significant cross-reactivity or interference between this analyte and analogues is observed.
Sequence Length
333
Assay Type
Quantitative Sandwich
Detection Range
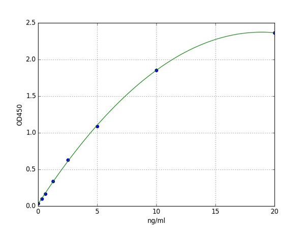
0.25 ng/ml - 8 ng/ml
Sensitivity
0.1 ng/ml.
Intra-assay Precision
Intra-assay CV (%) is less than 15%
Inter-assay Precision
Inter-assay CV (%) is less than 15%. [CV(%) = SD/mean ×100].
Preparation and Storage
Store all reagents at 2-8 degree C
Related Product Information for ACTgamma2 elisa kit
Background: This Quantitative Sandwich ELISA kit is only for in vitro research use only! This kit is intended to be used for determination the level of ACTG2 (hereafter termed "analyte") in undiluted original Bovine body fluids, tissue homogenates, secretions or feces samples. This kit is NOT suitable for assaying non-biological sources of substances.

NCBI and Uniprot Product Information

NCBI GI #
NCBI GeneID
72
NCBI Accession #
NCBI GenBank Nucleotide #
UniProt Accession #
Molecular Weight
41,877 Da
NCBI Official Full Name
actin, gamma-enteric smooth muscle isoform 2
NCBI Official Synonym Full Names
actin, gamma 2, smooth muscle, enteric
NCBI Official Symbol
ACTG2
NCBI Official Synonym Symbols
ACT; ACTE; VSCM; ACTA3; ACTL3; ACTSG
NCBI Protein Information
actin, gamma-enteric smooth muscle; alpha-actin-3; actin-like protein
UniProt Protein Name
Actin, gamma-enteric smooth muscle
UniProt Gene Name
ACTG2
UniProt Synonym Gene Names
ACTA3; ACTL3; ACTSG
UniProt Entry Name
ACTH_HUMAN

Customer Reviews

View All Reviews

Loading reviews...

Share Your Experience

Rating

Similar Products

Product Notes

The Bovine ACTgamma2 actg2 (Catalog #AAA35770) is an ELISA Kit and is intended for research purposes only. The product is available for immediate purchase. The AAA35770 ELISA Kit recognizes Bovine ACTgamma2. It is sometimes possible for the material contained within the vial of "Actin Gamma 2, Smooth Muscle, ELISA Kit" to become dispersed throughout the inside of the vial, particularly around the seal of said vial, during shipment and storage. We always suggest centrifuging these vials to consolidate all of the liquid away from the lid and to the bottom of the vial prior to opening. Please be advised that certain products may require dry ice for shipping and that, if this is the case, an additional dry ice fee may also be required.

Precautions

All products in the AAA Biotech catalog are strictly for research-use only, and are absolutely not suitable for use in any sort of medical, therapeutic, prophylactic, in-vivo, or diagnostic capacity. By purchasing a product from AAA Biotech, you are explicitly certifying that said products will be properly tested and used in line with industry standard. AAA Biotech and its authorized distribution partners reserve the right to refuse to fulfill any order if we have any indication that a purchaser may be intending to use a product outside of our accepted criteria.

Disclaimer

Though we do strive to guarantee the information represented in this datasheet, AAA Biotech cannot be held responsible for any oversights or imprecisions. AAA Biotech reserves the right to adjust any aspect of this datasheet at any time and without notice. It is the responsibility of the customer to inform AAA Biotech of any product performance issues observed or experienced within 30 days of receipt of said product. To see additional details on this or any of our other policies, please see our Terms & Conditions page.

Item has been added to Shopping Cart

If you are ready to order, navigate to Shopping Cart and get ready to checkout.

Submit a Question

Please complete the form below and a representative will contact you as soon as possible.

Request more Information

Please complete the form below and a representative will contact you as soon as possible.

Request a Manual

Please complete the form below and a representative will contact you as soon as possible.

Request a Quote

Please complete the form below and a representative will contact you as soon as possible.