Loading...

Skip to main content
Call us at +1-800-604-9114 for more information about our products or contact us online Need help? +1-800-604-9114 or contact us

Human Androsterone ELISA Kit | ADT elisa kit

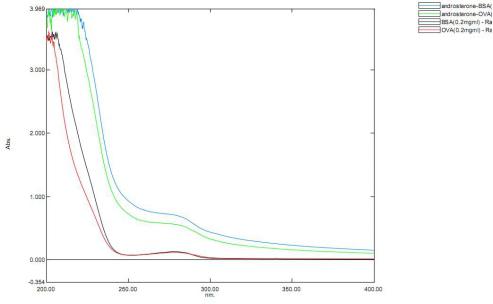
Human Androsterone ELISA Kit

Average rating 0.0
No ratings yet
Gene Names
Akr1c21; AI315367; 9430025F20Rik
Reactivity
Human
Synonyms
Androsterone; N/A; Human Androsterone ELISA Kit; ADT elisa kit
Ordering
Reactivity
Human
Specificity
No significant cross-reactivity or interference between this analyte and analogues is observed.
Sequence Length
323
Assay Type
Quantitative Sandwich
Detection Range
0.625nmol/L-20nmol/L
Sensitivity
0.1nmol/L
Intra-assay Precision
Intra-assay CV (%) is less than 15%.
Inter-assay Precision
Inter-assay CV (%) is less than 15%. [CV(%) = SD/mean ×100]. All CV% should be compared by concentration, not compared by OD values.
Preparation and Storage
Store all reagents at 2-8 degree C
Related Product Information for ADT elisa kit
Background: This Quantitative Sandwich ELISA kit is for lab reagent/research use only, not for drug, household, therapeutic or diagnostic applications! This kit is intended to be used for determine the level of ADT (hereafter termed "analyte") in undiluted original Human serum, plasma or tissue homogenates samples. For other sample types please contact tech support to determine compatibility with this assay. This kit is not suitable for assaying non-biological sources of substances.

NCBI and Uniprot Product Information

NCBI GI #
NCBI GeneID
UniProt Accession #
Molecular Weight
36,877 Da
NCBI Official Full Name
Aldo-keto reductase family 1 member C21
NCBI Official Synonym Full Names
aldo-keto reductase family 1, member C21
NCBI Official Symbol
Akr1c21
NCBI Official Synonym Symbols
AI315367; 9430025F20Rik
NCBI Protein Information
aldo-keto reductase family 1 member C21; DD1; DD3; 17-alpha-HSD; dihydrodiol dehydrogenase type 1; dihydrodiol dehydrogenase type 3; 3-alpha-hydroxysteroid dehydrogenase; 17-alpha-hydroxysteroid dehydrogenase; 3(17)alpha-hydroxysteroid dehydrogenase; 3(or 17)-alpha-hydroxysteroid dehydrogenase
UniProt Protein Name
Aldo-keto reductase family 1 member C21
UniProt Gene Name
Akr1c21
UniProt Synonym Gene Names
17-alpha-HSD; DD1; DD3
UniProt Entry Name
AK1CL_MOUSE

Customer Reviews

View All Reviews

Loading reviews...

Share Your Experience

Rating

Similar Products

Product Notes

The Human ADT akr1c21 (Catalog #AAA10521) is an ELISA Kit and is intended for research purposes only. The product is available for immediate purchase. The AAA10521 ELISA Kit recognizes Human ADT. It is sometimes possible for the material contained within the vial of "Androsterone, ELISA Kit" to become dispersed throughout the inside of the vial, particularly around the seal of said vial, during shipment and storage. We always suggest centrifuging these vials to consolidate all of the liquid away from the lid and to the bottom of the vial prior to opening. Please be advised that certain products may require dry ice for shipping and that, if this is the case, an additional dry ice fee may also be required.

Precautions

All products in the AAA Biotech catalog are strictly for research-use only, and are absolutely not suitable for use in any sort of medical, therapeutic, prophylactic, in-vivo, or diagnostic capacity. By purchasing a product from AAA Biotech, you are explicitly certifying that said products will be properly tested and used in line with industry standard. AAA Biotech and its authorized distribution partners reserve the right to refuse to fulfill any order if we have any indication that a purchaser may be intending to use a product outside of our accepted criteria.

Disclaimer

Though we do strive to guarantee the information represented in this datasheet, AAA Biotech cannot be held responsible for any oversights or imprecisions. AAA Biotech reserves the right to adjust any aspect of this datasheet at any time and without notice. It is the responsibility of the customer to inform AAA Biotech of any product performance issues observed or experienced within 30 days of receipt of said product. To see additional details on this or any of our other policies, please see our Terms & Conditions page.

Item has been added to Shopping Cart

If you are ready to order, navigate to Shopping Cart and get ready to checkout.

Submit a Question

Please complete the form below and a representative will contact you as soon as possible.

Request more Information

Please complete the form below and a representative will contact you as soon as possible.

Request a Manual

Please complete the form below and a representative will contact you as soon as possible.

Request a Quote

Please complete the form below and a representative will contact you as soon as possible.