Angiotensin I Converting Enzyme 2 (ACE2) Assay Kit | ACE2 assay kit
Angiotensin I Converting Enzyme 2 (ACE2) Activity Fluorescence Assay Kit
Synonyms
Angiotensin I Converting Enzyme 2 (ACE2); N/A; Angiotensin I Converting Enzyme 2 (ACE2) Activity Fluorescence Assay Kit; ACE2 assay kit
Asssay Type
Enzyme Activity
Samples
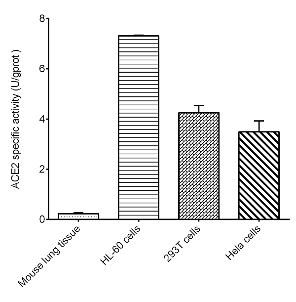
serum, plasma, animal tissue, cell
Detection Range
0.028-10.47 U/L
Sensitivity
0.028 U/L
Detection Type
Fluorescence method
Detection Instrument
Fluorescence Microplate reader
Precision
Inter CV: 4.4-11.8%
Intra CV: 1.5-3.7%
Intra CV: 1.5-3.7%
Research Area
Metabolic Diseases
Test Principle
The principle of this kit is that ACE2 catalyzes the decomposition of substrates, releasing fluorescent products. The higher the fluorescence value, the higher the ACE2 activity in the sample. The ACE2 enzyme activity in the sample can be calculated by the standard curve.
Preparation and Storage
This product can be stored at -20 degree C for 12 months with shading light.
Shipping: Ice bag
Shipping: Ice bag
Product Categories/Family for ACE2 assay kit
Similar Products
Product Notes
The ACE2 (Catalog #AAA179633) is an Assay Kit and is intended for research purposes only. The product is available for immediate purchase. It is sometimes possible for the material contained within the vial of "Angiotensin I Converting Enzyme 2 (ACE2), Assay Kit" to become dispersed throughout the inside of the vial, particularly around the seal of said vial, during shipment and storage. We always suggest centrifuging these vials to consolidate all of the liquid away from the lid and to the bottom of the vial prior to opening. Please be advised that certain products may require dry ice for shipping and that, if this is the case, an additional dry ice fee may also be required.Precautions
All products in the AAA Biotech catalog are strictly for research-use only, and are absolutely not suitable for use in any sort of medical, therapeutic, prophylactic, in-vivo, or diagnostic capacity. By purchasing a product from AAA Biotech, you are explicitly certifying that said products will be properly tested and used in line with industry standard. AAA Biotech and its authorized distribution partners reserve the right to refuse to fulfill any order if we have any indication that a purchaser may be intending to use a product outside of our accepted criteria.Disclaimer
Though we do strive to guarantee the information represented in this datasheet, AAA Biotech cannot be held responsible for any oversights or imprecisions. AAA Biotech reserves the right to adjust any aspect of this datasheet at any time and without notice. It is the responsibility of the customer to inform AAA Biotech of any product performance issues observed or experienced within 30 days of receipt of said product. To see additional details on this or any of our other policies, please see our Terms & Conditions page.Item has been added to Shopping Cart
If you are ready to order, navigate to Shopping Cart and get ready to checkout.
