Asssay Type
Enzyme Activity
Detection Type
Fluorescence method
Detection Instrument
Fluorescence Microplate reader
Precision
Inter CV: 5.7-7.2%
Intra CV: 0.6-2.7%
Intra CV: 0.6-2.7%
Research Area
Metabolic Diseases
Test Principle
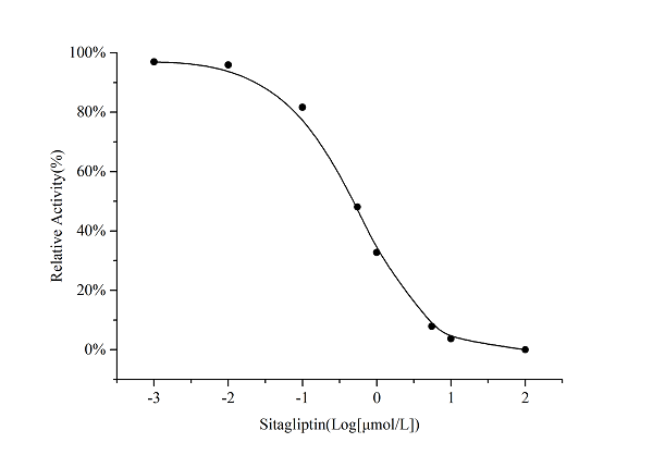
The detection principle of this kit is that DPP4 can decompose the substrate and release fluorescent substance AMC. The addition of DPP4 inhibitor can inhibit the enzyme activity, and the inhibitory ability of the inhibitor can be determined by the fluorescence value.
Preparation and Storage
This product can be stored at -20 degree C for 12 months with shading light.
Shipping: Ice bag
Shipping: Ice bag
Product Categories/Family for DPP4 assay kit
Customer Reviews
Loading reviews...
Share Your Experience
Similar Products
Product Notes
The DPP4 (Catalog #AAA179629) is an Assay Kit and is intended for research purposes only. The product is available for immediate purchase. It is sometimes possible for the material contained within the vial of "Dipeptidyl Peptidase IV (DPP4), Assay Kit" to become dispersed throughout the inside of the vial, particularly around the seal of said vial, during shipment and storage. We always suggest centrifuging these vials to consolidate all of the liquid away from the lid and to the bottom of the vial prior to opening. Please be advised that certain products may require dry ice for shipping and that, if this is the case, an additional dry ice fee may also be required.Precautions
All products in the AAA Biotech catalog are strictly for research-use only, and are absolutely not suitable for use in any sort of medical, therapeutic, prophylactic, in-vivo, or diagnostic capacity. By purchasing a product from AAA Biotech, you are explicitly certifying that said products will be properly tested and used in line with industry standard. AAA Biotech and its authorized distribution partners reserve the right to refuse to fulfill any order if we have any indication that a purchaser may be intending to use a product outside of our accepted criteria.Disclaimer
Though we do strive to guarantee the information represented in this datasheet, AAA Biotech cannot be held responsible for any oversights or imprecisions. AAA Biotech reserves the right to adjust any aspect of this datasheet at any time and without notice. It is the responsibility of the customer to inform AAA Biotech of any product performance issues observed or experienced within 30 days of receipt of said product. To see additional details on this or any of our other policies, please see our Terms & Conditions page.Item has been added to Shopping Cart
If you are ready to order, navigate to Shopping Cart and get ready to checkout.
