Loading...

Skip to main content
Call us at +1-800-604-9114 for more information about our products or contact us online Need help? +1-800-604-9114 or contact us

Phosphoenolpyruvate Carboxylase (PEPC) Assay Kit | PEPC assay kit

Phosphoenolpyruvate Carboxylase (PEPC) Activity Colorimetric Assay Kit

Average rating 0.0
No ratings yet
Synonyms
Phosphoenolpyruvate Carboxylase (PEPC); N/A; Phosphoenolpyruvate Carboxylase (PEPC) Activity Colorimetric Assay Kit; Phosphopyruvate carboxylase; Phosphoenolpyruvic carboxylase; PHOSPHOENOLPYRUVATE CARBOXYLASE; Phosphoenolpyruvic acid cocarboxylase; Phospho(enol)pyruvate Carboxylase corn; Carboxylase; phosphopyruvate (phosphate); PEPC assay kit
Ordering
Preparation and Storage
Store at -20 degree C and keep from light immediately upon receipt. Kit has a storage time of est. 6 months from receipt. Refer to list of materials supplied for storage conditions of individual components.
Shipping: Gel pack with blue ice.
Related Product Information for PEPC assay kit
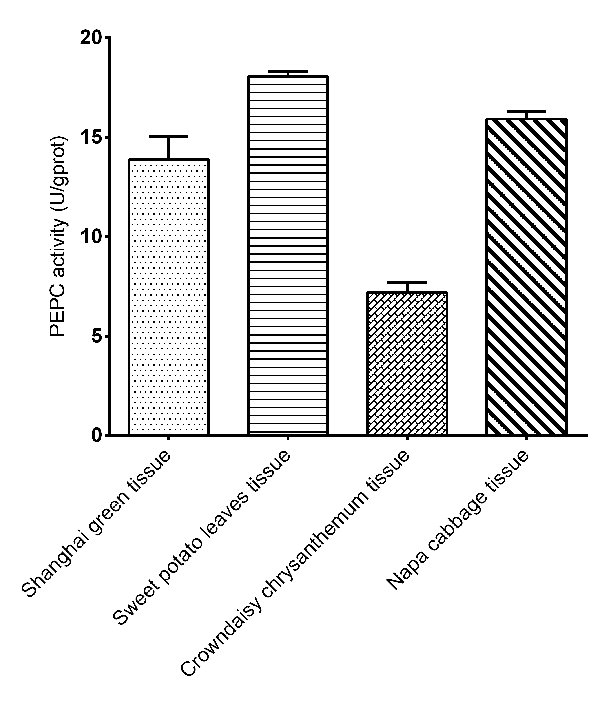
Principle of the Assay: The kit provides a simple method for detecting Phosphoenolpyruvate Carboxylase (PEPC) (EC 4.1.1.31) activity in a variety of biological samples such as animal tissues, plant tissues, cell culture: adherent or suspension cells, serum, plasma, bacterial. In the assay, Phosphoenolpyruvate carboxylase (PEPC) catalyzes phosphoenolpyruvate and CO2 to produce oxaloacetate and HPO42-, and malate dehydrogenase further catalyzes oxaloacetate and NADH to produce malate and NAD+. The rate of NADH decrease at 340 nm can reflect Phosphoenolpyruvate carboxylase (PEPC) activity.

Background/Introduction: Phosphoenolpyruvate Carboxylase (PEPC) (EC 4.1.1.31) is widely present in animals, plants, microorganisms and cells. It is an enzyme that catalyzes the reaction of phosphoenol acetic acid with gas phase to produce oxaloacetic acid and presents an irreversible reaction. The operation of the acid cycle plays an important regulatory role.
Product Categories/Family for PEPC assay kit

Customer Reviews

View All Reviews

Loading reviews...

Share Your Experience

Rating

Similar Products

Product Notes

The PEPC (Catalog #AAA332465) is an Assay Kit and is intended for research purposes only. The product is available for immediate purchase. It is sometimes possible for the material contained within the vial of "Phosphoenolpyruvate Carboxylase (PEPC), Assay Kit" to become dispersed throughout the inside of the vial, particularly around the seal of said vial, during shipment and storage. We always suggest centrifuging these vials to consolidate all of the liquid away from the lid and to the bottom of the vial prior to opening. Please be advised that certain products may require dry ice for shipping and that, if this is the case, an additional dry ice fee may also be required.

Precautions

All products in the AAA Biotech catalog are strictly for research-use only, and are absolutely not suitable for use in any sort of medical, therapeutic, prophylactic, in-vivo, or diagnostic capacity. By purchasing a product from AAA Biotech, you are explicitly certifying that said products will be properly tested and used in line with industry standard. AAA Biotech and its authorized distribution partners reserve the right to refuse to fulfill any order if we have any indication that a purchaser may be intending to use a product outside of our accepted criteria.

Disclaimer

Though we do strive to guarantee the information represented in this datasheet, AAA Biotech cannot be held responsible for any oversights or imprecisions. AAA Biotech reserves the right to adjust any aspect of this datasheet at any time and without notice. It is the responsibility of the customer to inform AAA Biotech of any product performance issues observed or experienced within 30 days of receipt of said product. To see additional details on this or any of our other policies, please see our Terms & Conditions page.

Item has been added to Shopping Cart

If you are ready to order, navigate to Shopping Cart and get ready to checkout.

Submit a Question

Please complete the form below and a representative will contact you as soon as possible.

Request more Information

Please complete the form below and a representative will contact you as soon as possible.

Request a Manual

Please complete the form below and a representative will contact you as soon as possible.

Request a Quote

Please complete the form below and a representative will contact you as soon as possible.