Bovine Thyrotropin Releasing Hormone (TRH) ELISA Kit | TRH elisa kit
Bovine Thyrotropin Releasing Hormone (TRH) ELISA Kit
Gene Names
TRH; TRF; Pro-TRH
Reactivity
Bovine
Synonyms
Thyrotropin Releasing Hormone (TRH); N/A; Bovine Thyrotropin Releasing Hormone (TRH) ELISA Kit; TRH elisa kit
Reactivity
Bovine
Sequence Length
242
Assay Type
Sandwich
Detection Range
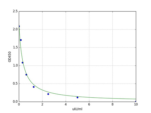
20 ng/mL-0.312 ng/mL
Sensitivity
Up to 0.06 ng/mL
Intra-assay Precision
<= 8%
Inter-assay Precision
<= 12%
Preparation and Storage
Store all reagents at 2-8 degree C.
Related Product Information for TRH elisa kit
Principle of the Assay: As mentioned above, this kit utilizes the Double Antibody Sandwich ELISA technique. The pre-coated antibody is an anti-Bovine TRH monoclonal antibody, while the detection antibody is a biotinylated polyclonal antibody. Samples and biotinylated antibodies are added into ELISA plate wells and washed out with PBS or TBS after their respective additions to the wells. Then Avidin-peroxidase conjugates are added to the wells in after. TMB substrate is used for coloration after the enzyme conjugate has already been thoroughly washed out of the wells by PBS or TBS. TMB reacts to form a blue product from the peroxidase activity, and finally turns to yellow after addition of the stop solution (Color Reagent C). The color intensity and quantity of target analyte in the sample are positively correlated.
NCBI and Uniprot Product Information
NCBI GI #
NCBI GeneID
NCBI Accession #
NCBI GenBank Nucleotide #
Molecular Weight
27,404 Da
NCBI Official Full Name
thyrotropin releasing hormone preproprotein
NCBI Official Synonym Full Names
thyrotropin releasing hormone
NCBI Official Symbol
TRH
NCBI Official Synonym Symbols
TRF; Pro-TRH
NCBI Protein Information
thyrotropin releasing hormone
UniProt Protein Name
Pro-thyrotropin-releasing hormone
UniProt Gene Name
TRH
UniProt Synonym Gene Names
Pro-TRH; TRH; TRF
UniProt Entry Name
TRH_HUMAN
Customer Reviews
Loading reviews...
Share Your Experience
Similar Products
Product Notes
The Bovine TRH trh (Catalog #AAA181391) is an ELISA Kit and is intended for research purposes only. The product is available for immediate purchase. The AAA181391 ELISA Kit recognizes Bovine TRH. It is sometimes possible for the material contained within the vial of "Thyrotropin Releasing Hormone (TRH), ELISA Kit" to become dispersed throughout the inside of the vial, particularly around the seal of said vial, during shipment and storage. We always suggest centrifuging these vials to consolidate all of the liquid away from the lid and to the bottom of the vial prior to opening. Please be advised that certain products may require dry ice for shipping and that, if this is the case, an additional dry ice fee may also be required.Precautions
All products in the AAA Biotech catalog are strictly for research-use only, and are absolutely not suitable for use in any sort of medical, therapeutic, prophylactic, in-vivo, or diagnostic capacity. By purchasing a product from AAA Biotech, you are explicitly certifying that said products will be properly tested and used in line with industry standard. AAA Biotech and its authorized distribution partners reserve the right to refuse to fulfill any order if we have any indication that a purchaser may be intending to use a product outside of our accepted criteria.Disclaimer
Though we do strive to guarantee the information represented in this datasheet, AAA Biotech cannot be held responsible for any oversights or imprecisions. AAA Biotech reserves the right to adjust any aspect of this datasheet at any time and without notice. It is the responsibility of the customer to inform AAA Biotech of any product performance issues observed or experienced within 30 days of receipt of said product. To see additional details on this or any of our other policies, please see our Terms & Conditions page.Item has been added to Shopping Cart
If you are ready to order, navigate to Shopping Cart and get ready to checkout.
