Specificity
This assay has high sensitivity and excellent specificity for detection of Interferon Epsilon (IFNe)
No significant cross-reactivity or interference between Interferon Epsilon (IFNe) and analogues was observed.
No significant cross-reactivity or interference between Interferon Epsilon (IFNe) and analogues was observed.
Sequence Length
208
Assay Type
Sandwich
Samples
Serum, plasma and other biological fluids
Detection Range
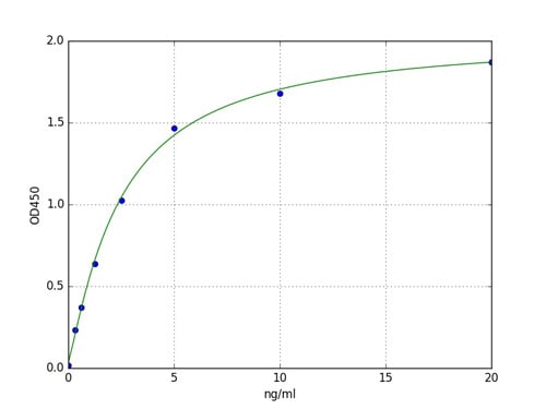
1.372-1000pg/mL The standard curve concentrations used for the ELISA's were 1000pg/mL, 333.33pg/mL, 111.11pg/mL, 37.04pg/mL, 12.346pg/mL, 4.115pg/mL, 1.372pg/mL
Sensitivity
The minimum detectable dose of this kit is typically less than 5.3pg/mL
Precision
Intra-assay Precision (Precision within an assay): 3 samples with low, middle and high level Interferon Epsilon (IFNe) were tested 20 times on one plate, respectively.
Inter-assay Precision (Precision between assays): 3 samples with low, middle and high level Interferon Epsilon (IFNe) were tested on 3 different plates, 8 replicates in each plate.
CV(%) = SD/meanX100
Intra-Assay: CV<10%
Inter-Assay: CV<12%
Inter-assay Precision (Precision between assays): 3 samples with low, middle and high level Interferon Epsilon (IFNe) were tested on 3 different plates, 8 replicates in each plate.
CV(%) = SD/meanX100
Intra-Assay: CV<10%
Inter-Assay: CV<12%
Organism Species
Mus musculus (Mouse)
Assay Length
4.5 hours
Preparation and Storage
The stability of kit is determined by the loss rate of activity. The loss rate of this kit is less than 5% within the expiration date under appropriate storage condition.
To minimize extra influence on the performance, operation procedures and lab conditions, especially room temperature, air humidity, incubator temperature should be strictly controlled. It is also strongly suggested that the whole assay is performed by the same operator from the beginning to the end.
To minimize extra influence on the performance, operation procedures and lab conditions, especially room temperature, air humidity, incubator temperature should be strictly controlled. It is also strongly suggested that the whole assay is performed by the same operator from the beginning to the end.
Related Product Information for IFNe clia kit
The microtiter plate provided in this kit has been pre-coated with an antigen. Standards or samples are then added to the appropriate microtiter plate wells with a biotin-conjugated secondary antibody. Next, Avidin conjugated to Horseradish Peroxidase (HRP) is added to each microplate well and incubated. Then the mixture of substrate A and B is added to generate glow light emission kinetics. Upon plate development, the intensity of the emitted light is proportional to the Interferon Epsilon (IFNe) level in the sample or standard.
NCBI and Uniprot Product Information
NCBI GI #
NCBI GeneID
NCBI Accession #
NCBI GenBank Nucleotide #
UniProt Accession #
Molecular Weight
24,414 Da
NCBI Official Full Name
interferon epsilon
NCBI Official Synonym Full Names
interferon, epsilon
NCBI Official Symbol
IFNE
NCBI Official Synonym Symbols
IFN-E; IFNE1; IFNT1; INFE1; PRO655
NCBI Protein Information
interferon epsilon; IFN-epsilon; interferon tau-1; interferon-epsilon; interferon epsilon 1; interferon epsilon-1
UniProt Protein Name
Interferon epsilon
UniProt Gene Name
IFNE
UniProt Synonym Gene Names
IFNE1; IFN-epsilon
UniProt Entry Name
IFNE_HUMAN
Customer Reviews
Loading reviews...
Share Your Experience
Similar Products
Product Notes
The IFNe ifne (Catalog #AAA130190) is a CLIA Kit and is intended for research purposes only. The product is available for immediate purchase. It is sometimes possible for the material contained within the vial of "Interferon Epsilon (IFNe), CLIA Kit" to become dispersed throughout the inside of the vial, particularly around the seal of said vial, during shipment and storage. We always suggest centrifuging these vials to consolidate all of the liquid away from the lid and to the bottom of the vial prior to opening. Please be advised that certain products may require dry ice for shipping and that, if this is the case, an additional dry ice fee may also be required.Precautions
All products in the AAA Biotech catalog are strictly for research-use only, and are absolutely not suitable for use in any sort of medical, therapeutic, prophylactic, in-vivo, or diagnostic capacity. By purchasing a product from AAA Biotech, you are explicitly certifying that said products will be properly tested and used in line with industry standard. AAA Biotech and its authorized distribution partners reserve the right to refuse to fulfill any order if we have any indication that a purchaser may be intending to use a product outside of our accepted criteria.Disclaimer
Though we do strive to guarantee the information represented in this datasheet, AAA Biotech cannot be held responsible for any oversights or imprecisions. AAA Biotech reserves the right to adjust any aspect of this datasheet at any time and without notice. It is the responsibility of the customer to inform AAA Biotech of any product performance issues observed or experienced within 30 days of receipt of said product. To see additional details on this or any of our other policies, please see our Terms & Conditions page.Item has been added to Shopping Cart
If you are ready to order, navigate to Shopping Cart and get ready to checkout.
