Mouse Gastric inhibitory polypeptide receptor ELISA Kit | Gipr elisa kit
Mouse Gastric inhibitory polypeptide receptor ELISA Kit
Gene Names
Gipr; GIP-R; Gm160; Gm1081
Reactivity
Mouse
Synonyms
Gastric inhibitory polypeptide receptor; N/A; Mouse Gastric inhibitory polypeptide receptor ELISA Kit; GIP-R; Glucose-dependent insulinotropic polypeptide receptor; Gipr; Gipr elisa kit
Reactivity
Mouse
Sequence Length
460
Assay Type
Competitive
Detection Range
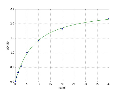
0.625-40 ng/mL
Sensitivity
0.331 ng/mL
Intra-Assay CV
<=6.9%
Inter-Assay CV
<=8.8%
Recovery
82%
Preparation and Storage
For long term storage, please store the entire kit at -20 degree C.
NCBI and Uniprot Product Information
NCBI GI #
NCBI GeneID
NCBI Accession #
NCBI GenBank Nucleotide #
Molecular Weight
26,617 Da
NCBI Official Full Name
gastric inhibitory polypeptide receptor
NCBI Official Synonym Full Names
gastric inhibitory polypeptide receptor
NCBI Official Symbol
Gipr
NCBI Official Synonym Symbols
GIP-R; Gm160; Gm1081
NCBI Protein Information
gastric inhibitory polypeptide receptor
UniProt Protein Name
Gastric inhibitory polypeptide receptor
UniProt Gene Name
Gipr
UniProt Synonym Gene Names
GIP-R
UniProt Entry Name
GIPR_MOUSE
Customer Reviews
Loading reviews...
Share Your Experience
Similar Products
Product Notes
The Mouse Gipr gipr (Catalog #AAA194752) is an ELISA Kit and is intended for research purposes only. The product is available for immediate purchase. The AAA194752 ELISA Kit recognizes Mouse Gipr. It is sometimes possible for the material contained within the vial of "Gastric inhibitory polypeptide receptor, ELISA Kit" to become dispersed throughout the inside of the vial, particularly around the seal of said vial, during shipment and storage. We always suggest centrifuging these vials to consolidate all of the liquid away from the lid and to the bottom of the vial prior to opening. Please be advised that certain products may require dry ice for shipping and that, if this is the case, an additional dry ice fee may also be required.Precautions
All products in the AAA Biotech catalog are strictly for research-use only, and are absolutely not suitable for use in any sort of medical, therapeutic, prophylactic, in-vivo, or diagnostic capacity. By purchasing a product from AAA Biotech, you are explicitly certifying that said products will be properly tested and used in line with industry standard. AAA Biotech and its authorized distribution partners reserve the right to refuse to fulfill any order if we have any indication that a purchaser may be intending to use a product outside of our accepted criteria.Disclaimer
Though we do strive to guarantee the information represented in this datasheet, AAA Biotech cannot be held responsible for any oversights or imprecisions. AAA Biotech reserves the right to adjust any aspect of this datasheet at any time and without notice. It is the responsibility of the customer to inform AAA Biotech of any product performance issues observed or experienced within 30 days of receipt of said product. To see additional details on this or any of our other policies, please see our Terms & Conditions page.Item has been added to Shopping Cart
If you are ready to order, navigate to Shopping Cart and get ready to checkout.
