General Glutathione S Transferase ELISA Kit | GST elisa kit
General species Glutathione S Transferase (GST) (Sandwich ELISA) ELISA Kit
Reactivity
General
Synonyms
Glutathione S Transferase; N/A; General species Glutathione S Transferase (GST) (Sandwich ELISA) ELISA Kit; GST-Tag; ELISA Kit for Glutathione S Transferase (GST); GST elisa kit
Reactivity
General
Specificity
This assay has high sensitivity and excellent specificity for detection of GST. No significant cross-reactivity or interference between GST and analogues was observed.
Samples
Biological fluids
Detection Range
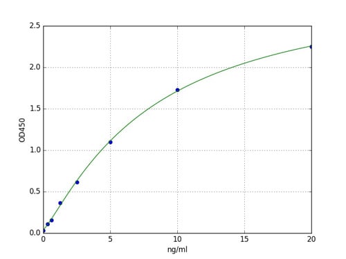
1.56-100ng/mL
Sensitivity
< 0.57ng/mL
Intra-assay Precision
Intra-assay Precision (Precision within an assay): 3 samples with low, middle and high level GST were tested 20 times on one plate, respectively. Intra-Assay: CV<10%
Inter-assay Precision
Inter-assay Precision (Precision between assays): 3 samples with low, middle and high level GST were tested on 3 different plates, 8 replicates in each plate. CV(%) = SD/meanX100. Inter-Assay: CV<12%
Preparation and Storage
4 degree C for 1 month/ -20 degree C for long-term(within shelf life). Shelf life is one year
Related Product Information for GST elisa kit
Principle of the Assay: The microtiter plate provided in this kit has been pre-coated with an antibody specific to GST. Standards or samples are then added to the appropriate microtiter plate wells with a Horseradish Peroxidase (HRP)-conjugated antibody specific to GST. After TMB substrate solution is added, those wells that contain GST will exhibit a change in color. The enzyme-substrate reaction is terminated by the addition of sulphuric acid solution and the color change is measured spectrophotometrically at a wavelength of 450nm ± 10nm. The concentration of GST in the samples is then determined by comparing the O.D. of the samples to the standard curve.
Intended Uses: The kit is an enzyme immunoassay for in vitro quantitative measurement of GST in biological fluids.
Intended Uses: The kit is an enzyme immunoassay for in vitro quantitative measurement of GST in biological fluids.
NCBI and Uniprot Product Information
NCBI GI #
UniProt Accession #
Molecular Weight
25.4 kDa (218aa)
NCBI Official Full Name
Glutathione S-transferase class-mu 26 kDa isozyme
UniProt Protein Name
Glutathione S-transferase class-mu 26 kDa isozyme
UniProt Gene Name
GST 26
UniProt Synonym Gene Names
GST 26
UniProt Entry Name
GST26_SCHJA
Customer Reviews
Loading reviews...
Share Your Experience
Similar Products
Product Notes
The General GST gst 26 (Catalog #AAA190089) is an ELISA Kit and is intended for research purposes only. The product is available for immediate purchase. The AAA190089 ELISA Kit recognizes General GST. It is sometimes possible for the material contained within the vial of "Glutathione S Transferase, ELISA Kit" to become dispersed throughout the inside of the vial, particularly around the seal of said vial, during shipment and storage. We always suggest centrifuging these vials to consolidate all of the liquid away from the lid and to the bottom of the vial prior to opening. Please be advised that certain products may require dry ice for shipping and that, if this is the case, an additional dry ice fee may also be required.Precautions
All products in the AAA Biotech catalog are strictly for research-use only, and are absolutely not suitable for use in any sort of medical, therapeutic, prophylactic, in-vivo, or diagnostic capacity. By purchasing a product from AAA Biotech, you are explicitly certifying that said products will be properly tested and used in line with industry standard. AAA Biotech and its authorized distribution partners reserve the right to refuse to fulfill any order if we have any indication that a purchaser may be intending to use a product outside of our accepted criteria.Disclaimer
Though we do strive to guarantee the information represented in this datasheet, AAA Biotech cannot be held responsible for any oversights or imprecisions. AAA Biotech reserves the right to adjust any aspect of this datasheet at any time and without notice. It is the responsibility of the customer to inform AAA Biotech of any product performance issues observed or experienced within 30 days of receipt of said product. To see additional details on this or any of our other policies, please see our Terms & Conditions page.Item has been added to Shopping Cart
If you are ready to order, navigate to Shopping Cart and get ready to checkout.
