Human Neurofilament, Light Polypeptide (NEFL) CLIA Kit | NEFL clia kit
Human Neurofilament, Light Polypeptide (NEFL)(CLIA) CLIA Kit
Gene Names
NEFL; NFL; NF-L; NF68; CMT1F; CMT2E; PPP1R110
Reactivity
Human
Applications
CLIA (Chemiluminescence Immunoassay)
Synonyms
Neurofilament, Light Polypeptide (NEFL); N/A; Human Neurofilament, Light Polypeptide (NEFL)(CLIA) CLIA Kit; CLIA Kit for Neurofilament, Light Polypeptide (NEFL); NEFL/Neurofilament, Light Polypeptide; CMT1F; CMT2E; NF-L; NF68; NFL; 68 kDa neurofilament protein; Neurofilament triplet L protein; NEFL clia kit
Reactivity
Human
Specificity
This assay has high sensitivity and excellent specificity for detection of NEFL. No significant cross-reactivity or interference between NEFL and analogues was observed.
Samples
Human serum, plasma, tissue homogenates, cell lysates, cell culture supernates and other biological fluids
Detection Range
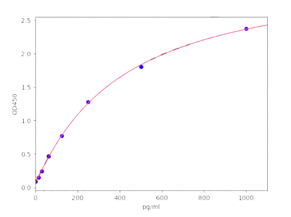
1.37-1,000pg/mL
Sensitivity
< 0.63pg/mL
Applicable Applications for NEFL clia kit
CLIA (Chemiluminescence Immunoassay)
Intra-assay Precision
Intra-assay Precision (Precision within an assay): 3 samples with low, middle and high level NEFL were tested 20 times on one plate, respectively. Intra-Assay: CV<10%
Inter-assay Precision
Inter-assay Precision (Precision between assays): 3 samples with low, middle and high level NEFL were tested on 3 different plates, 8 replicates in each plate. CV(%) = SD/meanX100. Inter-Assay: CV<12%
Preparation and Storage
Store at 4 degree C for 1 month/ -20 degree C for long-term (within shelf life).
The stability of kit is determined by the loss rate of activity. The loss rate of this kit is less than 5% within the expiration date under appropriate storage condition. To minimize extra influence on the performance, operation procedures and lab conditions, especially room temperature, air humidity, incubator temperature should be strictly controlled. It is also strongly suggested that the whole assay is performed by the same operator from the beginning to the end.
The stability of kit is determined by the loss rate of activity. The loss rate of this kit is less than 5% within the expiration date under appropriate storage condition. To minimize extra influence on the performance, operation procedures and lab conditions, especially room temperature, air humidity, incubator temperature should be strictly controlled. It is also strongly suggested that the whole assay is performed by the same operator from the beginning to the end.
Related Product Information for NEFL clia kit
Principle of the Assay: The microplate provided in this kit has been pre-coated with an antibody specific to NEFL. Standards or samples are then added to the appropriate microplate wells with a biotin-conjugated antibody specific to NEFL. Next, Avidin conjugated to Horseradish Peroxidase (HRP) is added to each microplate well and incubated. Then the mixture of substrate A and B is added to generate glow light emission kinetics. Upon plate development, the intensity of the emitted light is proportional to the NEFL level in the sample or standard.
Intended Uses: The Chemiluminescent Immunoassay kit is designed for the in vitro sensitive quantitative measurement of NEFL in human serum, plasma, tissue homogenates, cell lysates, cell culture supernates and other biological fluids.
Intended Uses: The Chemiluminescent Immunoassay kit is designed for the in vitro sensitive quantitative measurement of NEFL in human serum, plasma, tissue homogenates, cell lysates, cell culture supernates and other biological fluids.
Product Categories/Family for NEFL clia kit
NCBI and Uniprot Product Information
NCBI GI #
NCBI GeneID
Molecular Weight
543
NCBI Official Full Name
Neurofilament light polypeptide
NCBI Official Synonym Full Names
neurofilament, light polypeptide
NCBI Official Symbol
NEFL
NCBI Official Synonym Symbols
NFL; NF-L; NF68; CMT1F; CMT2E; PPP1R110
NCBI Protein Information
neurofilament light polypeptide; neurofilament subunit NF-L; neurofilament triplet L protein; neurofilament protein, light chain; neurofilament, light polypeptide 68kDa; light molecular weight neurofilament protein; protein phosphatase 1, regulatory subun
UniProt Protein Name
Neurofilament light polypeptide
UniProt Gene Name
NEFL
UniProt Synonym Gene Names
NF68; NFL; NF-L
UniProt Entry Name
NFL_HUMAN
Customer Reviews
Loading reviews...
Share Your Experience
Similar Products
Product Notes
The Human NEFL nefl (Catalog #AAA189569) is a CLIA Kit and is intended for research purposes only. The product is available for immediate purchase. The AAA189569 CLIA Kit recognizes Human NEFL. AAA Biotech's Neurofilament, Light Polypeptide (NEFL) can be used in a range of immunoassay formats including, but not limited to, CLIA (Chemiluminescence Immunoassay). Researchers should empirically determine the suitability of the NEFL nefl for an application not listed in the data sheet. Researchers commonly develop new applications and it is an integral, important part of the investigative research process. It is sometimes possible for the material contained within the vial of "Neurofilament, Light Polypeptide (NEFL), CLIA Kit" to become dispersed throughout the inside of the vial, particularly around the seal of said vial, during shipment and storage. We always suggest centrifuging these vials to consolidate all of the liquid away from the lid and to the bottom of the vial prior to opening. Please be advised that certain products may require dry ice for shipping and that, if this is the case, an additional dry ice fee may also be required.Precautions
All products in the AAA Biotech catalog are strictly for research-use only, and are absolutely not suitable for use in any sort of medical, therapeutic, prophylactic, in-vivo, or diagnostic capacity. By purchasing a product from AAA Biotech, you are explicitly certifying that said products will be properly tested and used in line with industry standard. AAA Biotech and its authorized distribution partners reserve the right to refuse to fulfill any order if we have any indication that a purchaser may be intending to use a product outside of our accepted criteria.Disclaimer
Though we do strive to guarantee the information represented in this datasheet, AAA Biotech cannot be held responsible for any oversights or imprecisions. AAA Biotech reserves the right to adjust any aspect of this datasheet at any time and without notice. It is the responsibility of the customer to inform AAA Biotech of any product performance issues observed or experienced within 30 days of receipt of said product. To see additional details on this or any of our other policies, please see our Terms & Conditions page.Item has been added to Shopping Cart
If you are ready to order, navigate to Shopping Cart and get ready to checkout.
