Loading...

Skip to main content
Call us at +1-800-604-9114 for more information about our products or contact us online Need help? +1-800-604-9114 or contact us

Human 3-Oxoacid CoA Transferase 1 (OXCT1) ELISA Kit | OXCT1 elisa kit

Human 3-Oxoacid CoA Transferase 1 (OXCT1) ELISA Kit

Average rating 0.0
No ratings yet
Gene Names
OXCT1; OXCT; SCOT
Reactivity
Human
Synonyms
3-Oxoacid CoA Transferase 1 (OXCT1); N/A; Human 3-Oxoacid CoA Transferase 1 (OXCT1) ELISA Kit; Human Succinyl-CoA:3-ketoacid-coenzyme A transferase 1; mitochondrial (OXCT1) ELISA kit; OXCT; SCOT; succinyl CoA:3-oxoacid CoA transferase; succinyl-CoA:3-ketoacid-CoA transferase; 3-oxoacid CoA transferase 1; OXCT1 elisa kit
Ordering
Reactivity
Human
Assay Type
Quantitative Sandwich
Detection Range
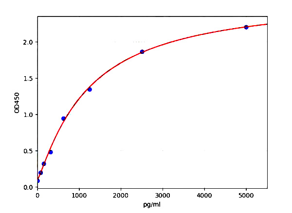
0.625ng/ml-20ng/ml
Sensitivity
0.1ng/ml
Intra-assay Precision
Intra-assay CV (%)is less than 15%.
Inter-assay Precision
Inter-assay CV (%) is less than 15%. [CV(%) = SD/mean ×100]. All CV% should be compared by concentration, not compared by OD values.
Preparation and Storage
Store all reagents at 2-8 degree C
Related Product Information for OXCT1 elisa kit
Background/Introduction: This Quantitative Sandwich ELISA kit is for lab reagent/research use only, not for drug, household, therapeutic or test applications! This kit is intended to be used for determine the level of OXCT1 (hereafter termed "analyte") in undiluted original Human serum, plasma or tissue homogenates samples. For other sample types please contact tech support to determine compatibility with this assay. This kit is not suitable for assaying non-biological sources of substances.

NCBI and Uniprot Product Information

NCBI GI #
NCBI GeneID
NCBI Accession #
NCBI GenBank Nucleotide #
UniProt Accession #
Molecular Weight
56,158 Da
NCBI Official Full Name
succinyl-CoA:3-ketoacid coenzyme A transferase 1, mitochondrial
NCBI Official Synonym Full Names
3-oxoacid CoA transferase 1
NCBI Official Symbol
OXCT1
NCBI Official Synonym Symbols
OXCT; SCOT
NCBI Protein Information
succinyl-CoA:3-ketoacid coenzyme A transferase 1, mitochondrial; SCOT-s; 3-oxoacid CoA-transferase 1; 3-oxoacid-CoA transferase 1; succinyl CoA:3-oxoacid CoA transferase; succinyl-CoA:3-ketoacid-CoA transferase; somatic-type succinyl CoA:3-oxoacid CoA-transferase; somatic-type succinyl-CoA:3-oxoacid CoA-transferase; somatic-type succinyl-CoA:3-oxoacid-CoA-transferase; succinyl-CoA:3-ketoacid-coenzyme A transferase 1, mitochondrial
UniProt Protein Name
Succinyl-CoA:3-ketoacid coenzyme A transferase 1, mitochondrial
UniProt Gene Name
OXCT1
UniProt Synonym Gene Names
OXCT; SCOT; SCOT-s
UniProt Entry Name
SCOT1_HUMAN

Customer Reviews

View All Reviews

Loading reviews...

Share Your Experience

Rating

Similar Products

Product Notes

The Human OXCT1 oxct1 (Catalog #AAA299988) is an ELISA Kit and is intended for research purposes only. The product is available for immediate purchase. The AAA299988 ELISA Kit recognizes Human OXCT1. It is sometimes possible for the material contained within the vial of "3-Oxoacid CoA Transferase 1 (OXCT1), ELISA Kit" to become dispersed throughout the inside of the vial, particularly around the seal of said vial, during shipment and storage. We always suggest centrifuging these vials to consolidate all of the liquid away from the lid and to the bottom of the vial prior to opening. Please be advised that certain products may require dry ice for shipping and that, if this is the case, an additional dry ice fee may also be required.

Precautions

All products in the AAA Biotech catalog are strictly for research-use only, and are absolutely not suitable for use in any sort of medical, therapeutic, prophylactic, in-vivo, or diagnostic capacity. By purchasing a product from AAA Biotech, you are explicitly certifying that said products will be properly tested and used in line with industry standard. AAA Biotech and its authorized distribution partners reserve the right to refuse to fulfill any order if we have any indication that a purchaser may be intending to use a product outside of our accepted criteria.

Disclaimer

Though we do strive to guarantee the information represented in this datasheet, AAA Biotech cannot be held responsible for any oversights or imprecisions. AAA Biotech reserves the right to adjust any aspect of this datasheet at any time and without notice. It is the responsibility of the customer to inform AAA Biotech of any product performance issues observed or experienced within 30 days of receipt of said product. To see additional details on this or any of our other policies, please see our Terms & Conditions page.

Item has been added to Shopping Cart

If you are ready to order, navigate to Shopping Cart and get ready to checkout.

Submit a Question

Please complete the form below and a representative will contact you as soon as possible.

Request more Information

Please complete the form below and a representative will contact you as soon as possible.

Request a Manual

Please complete the form below and a representative will contact you as soon as possible.

Request a Quote

Please complete the form below and a representative will contact you as soon as possible.