Human anti-LAMA5 (Laminin subunit alpha-5) antibody ELISA Kit | anti-LAMA5 elisa kit
Human anti-LAMA5 (Laminin subunit alpha-5) antibody ELISA Kit
Reactivity
Human
Synonyms
anti-LAMA5 (Laminin subunit alpha-5) antibody; N/A; Human anti-LAMA5 (Laminin subunit alpha-5) antibody ELISA Kit; anti-LAMA5 antibody; anti-LAMA5 elisa kit
Reactivity
Human
Specificity
Specifically recognize anti-LAMA5 antibody, no obvious cross reaction with other analogues
Assay Type
Sandwich
Samples
Serum, plasma, cell culture supernatant and other biological samples
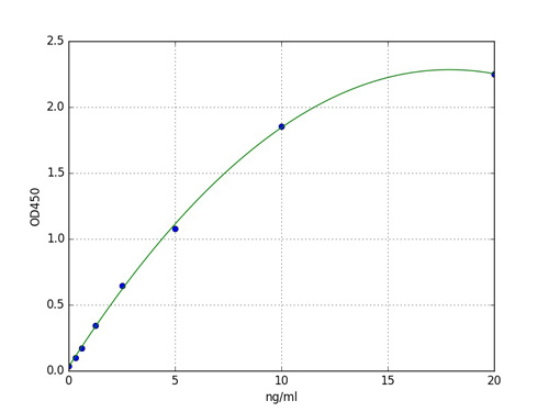
Detection Range
3.125-200ng/ml
Sensitivity
1.875ng/ml
Intra-assay Precision
Intra-assay Precision: samples with low, medium and high concentration are tested 20 times on same plate.
Inter-assay Precision
Inter-assay Precision: samples with low, medium and high concentration are tested 20 times on three different plates.
Preparation and Storage
Store entire kit at 2-8C for short-term. For longer-term, please store the microplate & standard at -20C, while the remaining reagents can be stored at 2-8C
Related Product Information for anti-LAMA5 elisa kit
Principle of the Assay: This kit was based on sandwich enzyme-linked immune-sorbent assay technology. Antigen was pre-coated onto the 96-well plate. The biotin conjugated antigen was used as the detection antigen. The standards and pilot samples were added to the wells subsequently. After incubation, unbound conjugates were removed by wash buffer. Then, biotinylated detection antigen was added to bind with anti-LAMA5 antibody conjugated on coated antigen. After washing off unbound conjugates, HRP-Streptavidin was added. After a third washing, TMB substrates were added to visualize HRP enzymatic reaction. TMB was catalyzed by HRP to produce a blue color product that turned yellow after adding acidic stop solution. Read the O.D. absorbance at 450nm in a microplate reader. The concentration of target antigen in the sample is positively correlated with OD450 and can be calculated by plotting the standard curve.
Customer Reviews
Loading reviews...
Share Your Experience
Similar Products
Product Notes
The Human anti-LAMA5 (Catalog #AAA250878) is an ELISA Kit and is intended for research purposes only. The product is available for immediate purchase. The AAA250878 ELISA Kit recognizes Human anti-LAMA5. It is sometimes possible for the material contained within the vial of "anti-LAMA5 (Laminin subunit alpha-5) antibody, ELISA Kit" to become dispersed throughout the inside of the vial, particularly around the seal of said vial, during shipment and storage. We always suggest centrifuging these vials to consolidate all of the liquid away from the lid and to the bottom of the vial prior to opening. Please be advised that certain products may require dry ice for shipping and that, if this is the case, an additional dry ice fee may also be required.Precautions
All products in the AAA Biotech catalog are strictly for research-use only, and are absolutely not suitable for use in any sort of medical, therapeutic, prophylactic, in-vivo, or diagnostic capacity. By purchasing a product from AAA Biotech, you are explicitly certifying that said products will be properly tested and used in line with industry standard. AAA Biotech and its authorized distribution partners reserve the right to refuse to fulfill any order if we have any indication that a purchaser may be intending to use a product outside of our accepted criteria.Disclaimer
Though we do strive to guarantee the information represented in this datasheet, AAA Biotech cannot be held responsible for any oversights or imprecisions. AAA Biotech reserves the right to adjust any aspect of this datasheet at any time and without notice. It is the responsibility of the customer to inform AAA Biotech of any product performance issues observed or experienced within 30 days of receipt of said product. To see additional details on this or any of our other policies, please see our Terms & Conditions page.Item has been added to Shopping Cart
If you are ready to order, navigate to Shopping Cart and get ready to checkout.
