Reactivity
Human
Specificity
This assay has high sensitivity and excellent specificity for detection of human DEK. No significant cross-reactivity or interference between human DEK and analogues was observed.
Sequence Length
341
Assay Type
Quantitative Sandwich
Samples
Serum, plasma, tissue homogenates, cell lysates
Detection Range
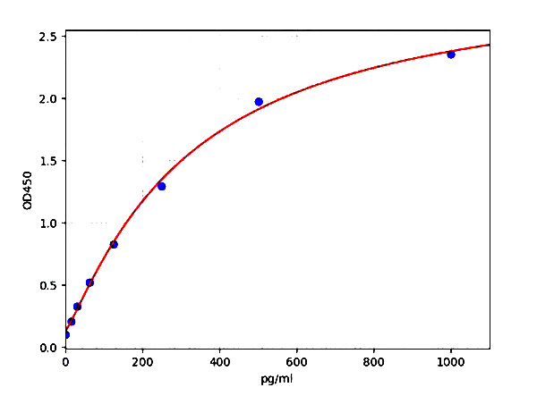
23.44 pg/ml-1500 pg/ml
Sensitivity
< 5.86 pg/ml
Intra-assay Precision
Intra-assay Precision (Precision within an assay): CV%<8%. Three samples of known concentration were tested twenty times on one plate to assess.
Inter-assay Precision
Inter-assay Precision (Precision between assays): CV%<10%. Three samples of known concentration were tested in twenty assays to assess.
Preparation and Storage
Unopened test kits should be stored at 2 to 8 degree C upon receipt. Please refer to pdf manual for further storage instructions.
Related Product Information for DEK elisa kit
Principle of the Assay: This assay employs the quantitative sandwich enzyme immunoassay technique. Antibody specific for DEK has been pre-coated onto a microplate. Standards and samples are pipetted into the wells and any DEK present is bound by the immobilized antibody. After removing any unbound substances, a biotin-conjugated antibody specific for DEK is added to the wells. After washing, avidin conjugated Horseradish Peroxidase (HRP) is added to the wells. Following a wash to remove any unbound avidin-enzyme reagent, a substrate solution is added to the wells and color develops in proportion to the amount of DEK bound in the initial step. The color development is stopped and the intensity of the color is measured.
NCBI and Uniprot Product Information
NCBI GI #
NCBI GeneID
NCBI Accession #
NCBI GenBank Nucleotide #
Molecular Weight
42,674 Da
NCBI Official Full Name
protein DEK isoform 2
NCBI Official Synonym Full Names
DEK proto-oncogene
NCBI Official Symbol
DEK
NCBI Official Synonym Symbols
D6S231E
NCBI Protein Information
protein DEK; DEK oncogene (DNA binding)
UniProt Protein Name
Protein DEK
UniProt Gene Name
DEK
UniProt Entry Name
DEK_HUMAN
Customer Reviews
Loading reviews...
Share Your Experience
Similar Products
Product Notes
The Human DEK dek (Catalog #AAA18395) is an ELISA Kit and is intended for research purposes only. The product is available for immediate purchase. The AAA18395 ELISA Kit recognizes Human DEK. It is sometimes possible for the material contained within the vial of "DEK oncogene, ELISA Kit" to become dispersed throughout the inside of the vial, particularly around the seal of said vial, during shipment and storage. We always suggest centrifuging these vials to consolidate all of the liquid away from the lid and to the bottom of the vial prior to opening. Please be advised that certain products may require dry ice for shipping and that, if this is the case, an additional dry ice fee may also be required.Precautions
All products in the AAA Biotech catalog are strictly for research-use only, and are absolutely not suitable for use in any sort of medical, therapeutic, prophylactic, in-vivo, or diagnostic capacity. By purchasing a product from AAA Biotech, you are explicitly certifying that said products will be properly tested and used in line with industry standard. AAA Biotech and its authorized distribution partners reserve the right to refuse to fulfill any order if we have any indication that a purchaser may be intending to use a product outside of our accepted criteria.Disclaimer
Though we do strive to guarantee the information represented in this datasheet, AAA Biotech cannot be held responsible for any oversights or imprecisions. AAA Biotech reserves the right to adjust any aspect of this datasheet at any time and without notice. It is the responsibility of the customer to inform AAA Biotech of any product performance issues observed or experienced within 30 days of receipt of said product. To see additional details on this or any of our other policies, please see our Terms & Conditions page.Item has been added to Shopping Cart
If you are ready to order, navigate to Shopping Cart and get ready to checkout.
