Human KLK10/NES1 (Kallikrein-10) ELISA Kit | KLK10 elisa kit
Human KLK10/NES1 (Kallikrein-10) QuickTest ELISA Kit
Gene Names
KLK10; NES1; PRSSL1
Reactivity
Human
Synonyms
KLK10/NES1 (Kallikrein-10); N/A; Human KLK10/NES1 (Kallikrein-10) QuickTest ELISA Kit; Kallikrein-10; Normal epithelial cell-specific 1; Protease serine-like 1; KLK10; NES1; PRSSL1; KLK10 elisa kit
Reactivity
Human
Assay Type
Sandwich ELISA, Double Antibody
Samples
Serum, plasma, cell culture supernatant, cell lysate or tissue lysate, other biological fluid samples
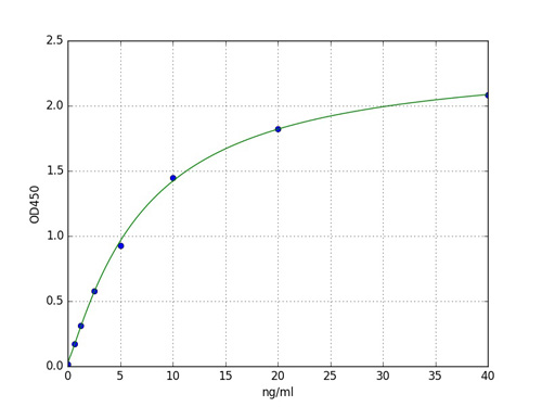
Detection Range
0.625-40ng/ml
Sensitivity
0.375ng/ml
Time
120 minutes
Preparation and Storage
Store at 2-8 degree C for 12 months
NCBI and Uniprot Product Information
NCBI GI #
NCBI GeneID
NCBI Accession #
NCBI GenBank Nucleotide #
Molecular Weight
30,170 Da
NCBI Official Full Name
kallikrein-10 preproprotein
NCBI Official Synonym Full Names
kallikrein-related peptidase 10
NCBI Official Symbol
KLK10
NCBI Official Synonym Symbols
NES1; PRSSL1
NCBI Protein Information
kallikrein-10; kallikrein 10; protease serine-like 1; protease, serine-like, 1; normal epithelial cell-specific 1; breast normal epithelial cell associated serine protease
UniProt Protein Name
Kallikrein-10
UniProt Gene Name
KLK10
UniProt Synonym Gene Names
NES1; PRSSL1
UniProt Entry Name
KLK10_HUMAN
Customer Reviews
Loading reviews...
Share Your Experience
Similar Products
Product Notes
The Human KLK10 klk10 (Catalog #AAA252444) is an ELISA Kit and is intended for research purposes only. The product is available for immediate purchase. The AAA252444 ELISA Kit recognizes Human KLK10. It is sometimes possible for the material contained within the vial of "KLK10/NES1 (Kallikrein-10), ELISA Kit" to become dispersed throughout the inside of the vial, particularly around the seal of said vial, during shipment and storage. We always suggest centrifuging these vials to consolidate all of the liquid away from the lid and to the bottom of the vial prior to opening. Please be advised that certain products may require dry ice for shipping and that, if this is the case, an additional dry ice fee may also be required.Precautions
All products in the AAA Biotech catalog are strictly for research-use only, and are absolutely not suitable for use in any sort of medical, therapeutic, prophylactic, in-vivo, or diagnostic capacity. By purchasing a product from AAA Biotech, you are explicitly certifying that said products will be properly tested and used in line with industry standard. AAA Biotech and its authorized distribution partners reserve the right to refuse to fulfill any order if we have any indication that a purchaser may be intending to use a product outside of our accepted criteria.Disclaimer
Though we do strive to guarantee the information represented in this datasheet, AAA Biotech cannot be held responsible for any oversights or imprecisions. AAA Biotech reserves the right to adjust any aspect of this datasheet at any time and without notice. It is the responsibility of the customer to inform AAA Biotech of any product performance issues observed or experienced within 30 days of receipt of said product. To see additional details on this or any of our other policies, please see our Terms & Conditions page.Item has been added to Shopping Cart
If you are ready to order, navigate to Shopping Cart and get ready to checkout.
