PROC/Protein C ELISA Kit | PROC elisa kit
Human PROC/Protein C PicoKine ELISA Kit
Gene Names
Proc; PC
Reactivity
HumanThere is no detectable cross-reactivity with other relevant proteins.
Synonyms
PROC/Protein C; N/A; Human PROC/Protein C PicoKine ELISA Kit; Human PROC/Protein C; Vitamin K-dependent protein C; Anticoagulant protein C; Autoprothrombin IIA; Blood coagulation factor XIV; Proc; Protein C, inactivator of coagulation factors Va and VIIIa; PROC elisa kit
Reactivity
Human
There is no detectable cross-reactivity with other relevant proteins.
There is no detectable cross-reactivity with other relevant proteins.
Specificity
Natural and recombinant Human PLXNB3
Sequence Length
460
Samples
Cell Culture Supernates, Serum And Plasma(Heparin, Edta)
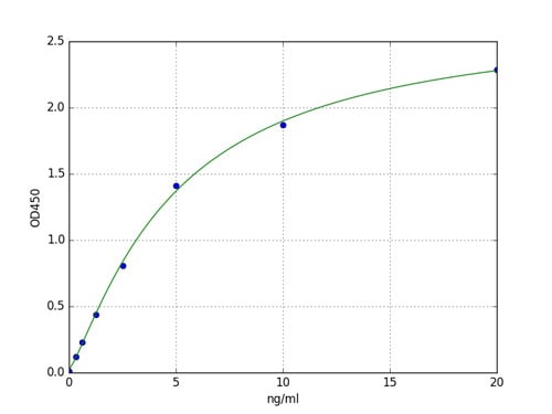
Detection Range
93.6pg/ml-6000pg/ml
Sensitivity
<15pg/ml
Intra-assay Precision
Intra-Assay Precision (Precision within an assay): Three samples of known concentration were tested on one plate to assess intra-assay precision
Inter-assay Precision
Inter-Assay Precision (Precision accross assays):Three samples of known concentration were tested in separate assays to assess inter-assay precision.
Preparation and Storage
Store at 4 degree C for 6 months. Store at -20 degree C for 12 months.
Avoid multiple freeze-thaw cycles.
Avoid multiple freeze-thaw cycles.
Related Product Information for PROC elisa kit
Principle of the Assay: The Picokine Human PLXNB3 Pre-Coated ELISA (Enzyme-Linked Immunosorbent Assay) kit is a solid phase immunoassay specially designed to measure Human PLXNB3 with a 96-well strip plate that is pre-coated with antibody specific for PLXNB3. The detection antibody is a biotinylated antibody specific for PLXNB3. The capture antibody is A monoclonal antibody from mouse, the detection antibody is a biotinylated detection polyclonal antibody from goat. The kit contains recombinant Human PLXNB3 with immunogen: Expression system for standard: NSO, Immunogen sequence: H45-Q1255. The kit is analytically validated with ready to use reagents. To measure Human PLXNB3, add standards and samples to the wells, then add the biotinylated detection antibody. Wash the wells with PBS or TBS buffer, and add Avidin-Biotin-Peroxidase Complex (ABC-HRP). Wash away the unbounded ABC-HRP with PBS or TBS buffer and add TMB. TMB is substrate to HRP and will be catalyzed to produce a blue color product, which changes into yellow after adding acidic stop solution. The density of the yellow product is linearly propotional to Human PLXNB3 in the sample. Read the density of the yellow product in each well using a plate reader, and benchmark the sample wells' readings against the standard curve to determine the concentration of Human PLXNB3 in the sample!!Background/Introduction: Plexin-B3 is a protein that in humans is encoded by the PLXNB3 gene. Ths gene is mapped to Xq28. The protein encoded by this gene is a member of the plexin family. It functions as a receptor for semaphorin 5A, and plays a role in axon guidance, invasive growth and cell migration. Alternatively spliced transcript variants encoding different isoforms have been found for this gene.
NCBI and Uniprot Product Information
NCBI GI #
NCBI GeneID
NCBI Accession #
NCBI GenBank Nucleotide #
Molecular Weight
51,818 Da
NCBI Official Full Name
vitamin K-dependent protein C isoform 2 preproprotein
NCBI Official Synonym Full Names
protein C
NCBI Official Symbol
Proc
NCBI Official Synonym Symbols
PC
NCBI Protein Information
vitamin K-dependent protein C
UniProt Protein Name
Vitamin K-dependent protein C
UniProt Gene Name
Proc
Customer Reviews
Loading reviews...
Share Your Experience
Similar Products
Product Notes
The Human There is no detectable cross-reactivity with other relevant proteins. PROC proc (Catalog #AAA125102) is an ELISA Kit and is intended for research purposes only. The product is available for immediate purchase. The AAA125102 ELISA Kit recognizes Human There is no detectable cross-reactivity with other relevant proteins. PROC. It is sometimes possible for the material contained within the vial of "PROC/Protein C, ELISA Kit" to become dispersed throughout the inside of the vial, particularly around the seal of said vial, during shipment and storage. We always suggest centrifuging these vials to consolidate all of the liquid away from the lid and to the bottom of the vial prior to opening. Please be advised that certain products may require dry ice for shipping and that, if this is the case, an additional dry ice fee may also be required.Precautions
All products in the AAA Biotech catalog are strictly for research-use only, and are absolutely not suitable for use in any sort of medical, therapeutic, prophylactic, in-vivo, or diagnostic capacity. By purchasing a product from AAA Biotech, you are explicitly certifying that said products will be properly tested and used in line with industry standard. AAA Biotech and its authorized distribution partners reserve the right to refuse to fulfill any order if we have any indication that a purchaser may be intending to use a product outside of our accepted criteria.Disclaimer
Though we do strive to guarantee the information represented in this datasheet, AAA Biotech cannot be held responsible for any oversights or imprecisions. AAA Biotech reserves the right to adjust any aspect of this datasheet at any time and without notice. It is the responsibility of the customer to inform AAA Biotech of any product performance issues observed or experienced within 30 days of receipt of said product. To see additional details on this or any of our other policies, please see our Terms & Conditions page.Item has been added to Shopping Cart
If you are ready to order, navigate to Shopping Cart and get ready to checkout.
