Human Low-density lipoprotein receptor ELISA Kit | LDLR elisa kit
Human Low-density lipoprotein receptor ELISA Kit
Gene Names
LDLR; FH; FHC; LDLCQ2
Reactivity
Human
Synonyms
Low-density lipoprotein receptor; N/A; Human Low-density lipoprotein receptor ELISA Kit; LDLR (Low-density lipoprotein receptor)/FH/FHC/LDL receptor/LDLCQ2/low density lipoprotein receptor/low-density lipoprotein receptor class A domain-containing protein 3; LDLR elisa kit
Reactivity
Human
Sequence Length
860
Assay Type
Sandwich ELISA, Double Antibody
Samples
Serum, Plasma, Cell Culture Supernatant, cell or tissue lysate, Other liquid samples
Detection Range
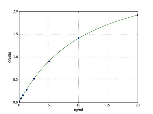
0.313-20ng/ml
Sensitivity
0.188ng/ml
Preparation and Storage
Store entire kit at 2-8C for short-term. For longer-term, please store the microplate & standard at -20C, while the remaining reagents can be stored at 2-8C
Related Product Information for LDLR elisa kit
Principle of the Assay||This immunoassay kit allows for the in vitro quantitative determination of human LDLR concentrations in serum, plasma and other biological fluids.
NCBI and Uniprot Product Information
NCBI GI #
NCBI GeneID
Molecular Weight
82,255 Da
NCBI Official Full Name
low density lipoprotein receptor
NCBI Official Synonym Full Names
low density lipoprotein receptor
NCBI Official Symbol
LDLR
NCBI Official Synonym Symbols
FH; FHC; LDLCQ2
NCBI Protein Information
low-density lipoprotein receptor
UniProt Protein Name
Low-density lipoprotein receptor
UniProt Gene Name
LDLR
UniProt Synonym Gene Names
LDL receptor
UniProt Entry Name
LDLR_HUMAN
Customer Reviews
Loading reviews...
Share Your Experience
Similar Products
Product Notes
The Human LDLR ldlr (Catalog #AAA99367) is an ELISA Kit and is intended for research purposes only. The product is available for immediate purchase. The AAA99367 ELISA Kit recognizes Human LDLR. It is sometimes possible for the material contained within the vial of "Low-density lipoprotein receptor, ELISA Kit" to become dispersed throughout the inside of the vial, particularly around the seal of said vial, during shipment and storage. We always suggest centrifuging these vials to consolidate all of the liquid away from the lid and to the bottom of the vial prior to opening. Please be advised that certain products may require dry ice for shipping and that, if this is the case, an additional dry ice fee may also be required.Precautions
All products in the AAA Biotech catalog are strictly for research-use only, and are absolutely not suitable for use in any sort of medical, therapeutic, prophylactic, in-vivo, or diagnostic capacity. By purchasing a product from AAA Biotech, you are explicitly certifying that said products will be properly tested and used in line with industry standard. AAA Biotech and its authorized distribution partners reserve the right to refuse to fulfill any order if we have any indication that a purchaser may be intending to use a product outside of our accepted criteria.Disclaimer
Though we do strive to guarantee the information represented in this datasheet, AAA Biotech cannot be held responsible for any oversights or imprecisions. AAA Biotech reserves the right to adjust any aspect of this datasheet at any time and without notice. It is the responsibility of the customer to inform AAA Biotech of any product performance issues observed or experienced within 30 days of receipt of said product. To see additional details on this or any of our other policies, please see our Terms & Conditions page.Item has been added to Shopping Cart
If you are ready to order, navigate to Shopping Cart and get ready to checkout.
