Mouse MMP14 (Matrix Metalloproteinase-14) ELISA Kit | MMP-14 elisa kit
Mouse MMP14 (Matrix Metalloproteinase-14) QuickTest ELISA Kit
Gene Names
Mmp14; sabe; MMP-X1; MT1-MMP; AI325305; MT-MMP-1
Reactivity
Mouse
Synonyms
MMP14 (Matrix Metalloproteinase-14); N/A; Mouse MMP14 (Matrix Metalloproteinase-14) QuickTest ELISA Kit; Matrix metalloproteinase-14; MMP-14; MMP-X1; Membrane-type matrix metalloproteinase 1; MT-MMP 1, MTMMP1; Membrane-type-1 matrix metalloproteinase; MT1-MMP, MT1MMP; MMP14; MMP-14 elisa kit
Reactivity
Mouse
Assay Type
Sandwich ELISA, Double Antibody
Samples
Serum, plasma, cell culture supernatant, cell lysate or tissue lysate, other biological fluid samples
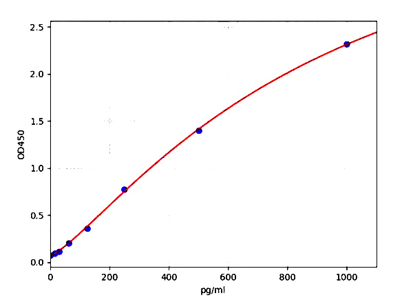
Detection Range
15.625-1000pg/ml
Sensitivity
9.375pg/ml
Time
120 minutes
Preparation and Storage
Store at 2-8 degree C for 12 months
NCBI and Uniprot Product Information
NCBI GI #
NCBI GeneID
NCBI Accession #
NCBI GenBank Nucleotide #
Molecular Weight
65,919 Da
NCBI Official Full Name
matrix metalloproteinase-14 preproprotein
NCBI Official Synonym Full Names
matrix metallopeptidase 14 (membrane-inserted)
NCBI Official Symbol
Mmp14
NCBI Official Synonym Symbols
sabe; MMP-X1; MT1-MMP; AI325305; MT-MMP-1
NCBI Protein Information
matrix metalloproteinase-14
UniProt Protein Name
Matrix metalloproteinase-14
UniProt Gene Name
Mmp14
UniProt Synonym Gene Names
Mtmmp; MMP-14; MT-MMP 1; MTMMP1; MT1-MMP; MT1MMP
Customer Reviews
Loading reviews...
Share Your Experience
Similar Products
Product Notes
The Mouse MMP-14 mmp14 (Catalog #AAA253426) is an ELISA Kit and is intended for research purposes only. The product is available for immediate purchase. The AAA253426 ELISA Kit recognizes Mouse MMP-14. It is sometimes possible for the material contained within the vial of "MMP14 (Matrix Metalloproteinase-14), ELISA Kit" to become dispersed throughout the inside of the vial, particularly around the seal of said vial, during shipment and storage. We always suggest centrifuging these vials to consolidate all of the liquid away from the lid and to the bottom of the vial prior to opening. Please be advised that certain products may require dry ice for shipping and that, if this is the case, an additional dry ice fee may also be required.Precautions
All products in the AAA Biotech catalog are strictly for research-use only, and are absolutely not suitable for use in any sort of medical, therapeutic, prophylactic, in-vivo, or diagnostic capacity. By purchasing a product from AAA Biotech, you are explicitly certifying that said products will be properly tested and used in line with industry standard. AAA Biotech and its authorized distribution partners reserve the right to refuse to fulfill any order if we have any indication that a purchaser may be intending to use a product outside of our accepted criteria.Disclaimer
Though we do strive to guarantee the information represented in this datasheet, AAA Biotech cannot be held responsible for any oversights or imprecisions. AAA Biotech reserves the right to adjust any aspect of this datasheet at any time and without notice. It is the responsibility of the customer to inform AAA Biotech of any product performance issues observed or experienced within 30 days of receipt of said product. To see additional details on this or any of our other policies, please see our Terms & Conditions page.Item has been added to Shopping Cart
If you are ready to order, navigate to Shopping Cart and get ready to checkout.
