Mouse anti-Human HLA B7 Monoclonal Antibody | anti-HLA-B antibody
Mouse Anti Human HLA B7: Amethyst Orange
DISCONTINUED
This product has been discontinued and is no longer available for purchase. Please contact us for alternative products or more information.
|
This product is discontinued. Contact us for alternatives. |
1% Bovine Serum Albumin
Storage in frost-free freezers is not recommended.
This product should be stored undiluted.
This product is photosensitive and should be protected from light.
Avoid repeated freezing and thawing as this may denature the antibody.
This product contains a precipitate we recommend microcentrifugation before use
Application Data
(Figure A. Alexa Fluor 700 conjugated Mouse anti Human CD3 and Amethyst Orange conjugated Mouse IgG1 isotype control . Figure B. Alexa Fluor 700 conjugated Mouse anti Human CD3 and Amethyst Orange conjugated Mouse anti Human HLA B7 . All experiments performed on human blood gated on live single mononuclear cells, in the presence of 10% human serum. Data acquired on the ZE5 Cell Analyzer)
Application Data
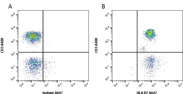
(Figure A. Alexa Fluor 488 conjugated Mouse anti Human CD3 and Alexa Fluor 647 conjugated Mouse IgG1 isotype control . Figure B . Alexa Fluor 488 conjugated Mouse anti Human CD3 and Alexa Fluor 647 conjugated Mouse anti Human HLA-B7 . All experiments performed on human blood gated on live single lymphocytes, in the presence of 10% Human serum. Data acquired on the ZE5 Cell Analyzer)
Application Data
(Figure A. PE conjugated Mouse anti Human CD3 and FITC conjugated Mouse IgG1 isotype control . Figure B . PE conjugated Mouse anti Human CD3 and FITC conjugated Mouse anti Human HLA-B7 . All experiments performed on human blood gated on single cell lymphocytes in the presence of 10% human serum. Data acquired on the ZE5 Cell Analyzer)
The HLA B gene is part of the human HLA complex on chromosome 6 and there are a large number of variant alleles of this gene.
NCBI and Uniprot Product Information
Customer Reviews
Loading reviews...
Share Your Experience
Similar Products
Product Notes
The HLA-B hla-b (Catalog #AAA50405) is an Antibody produced from Mouse and is intended for research purposes only. The product is available for immediate purchase. The Mouse Anti Human HLA B7: Amethyst Orange reacts with Human and may cross-react with other species as described in the data sheet. AAA Biotech's HLA B7 can be used in a range of immunoassay formats including, but not limited to, FCM/FACS (Flow Cytometry). Researchers should empirically determine the suitability of the HLA-B hla-b for an application not listed in the data sheet. Researchers commonly develop new applications and it is an integral, important part of the investigative research process. It is sometimes possible for the material contained within the vial of "HLA B7, Monoclonal Antibody" to become dispersed throughout the inside of the vial, particularly around the seal of said vial, during shipment and storage. We always suggest centrifuging these vials to consolidate all of the liquid away from the lid and to the bottom of the vial prior to opening. Please be advised that certain products may require dry ice for shipping and that, if this is the case, an additional dry ice fee may also be required.Precautions
All products in the AAA Biotech catalog are strictly for research-use only, and are absolutely not suitable for use in any sort of medical, therapeutic, prophylactic, in-vivo, or diagnostic capacity. By purchasing a product from AAA Biotech, you are explicitly certifying that said products will be properly tested and used in line with industry standard. AAA Biotech and its authorized distribution partners reserve the right to refuse to fulfill any order if we have any indication that a purchaser may be intending to use a product outside of our accepted criteria.Disclaimer
Though we do strive to guarantee the information represented in this datasheet, AAA Biotech cannot be held responsible for any oversights or imprecisions. AAA Biotech reserves the right to adjust any aspect of this datasheet at any time and without notice. It is the responsibility of the customer to inform AAA Biotech of any product performance issues observed or experienced within 30 days of receipt of said product. To see additional details on this or any of our other policies, please see our Terms & Conditions page.Item has been added to Shopping Cart
If you are ready to order, navigate to Shopping Cart and get ready to checkout.
