Mouse OC/BGP (Osteocalcin) CLIA Kit | OC/BGP clia kit
Mouse OC/BGP (Osteocalcin) CLIA Kit
Gene Names
BGLAP; OC; BGP; OCN
Reactivity
Mouse
Synonyms
OC/BGP (Osteocalcin); N/A; Mouse OC/BGP (Osteocalcin) CLIA Kit; BGLAP; OT; Bone Gamma-carboxyglutamate Protein; Bone Gla Protein; OC/BGP clia kit
Reactivity
Mouse
Specificity
This kit recognizes natural and recombinant OC/BGP. No significant cross-reactivity or interference between OC/BGP and analogues was observed.
Sequence Length
100
Assay Type
Sandwich
Detection Range
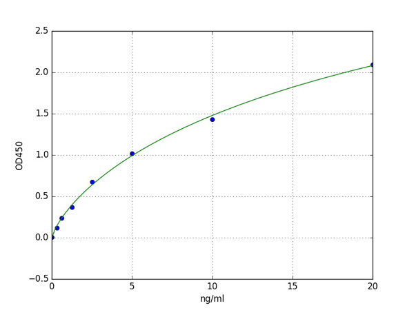
78.125-5000pg/mL
Sensitivity
Min: 46.875pg/mL; Max: 5000pg/mL
Related Product Information for OC/BGP clia kit
Intended Uses: This CLIA kit applies to the in vitro quantitative determination of OC/BGP concentrations in serum, plasma and other biological fluids.
Principle of the Assay: This kit uses Sandwich-CLIA as the method. The micro CLIA plate provided in this kit has been pre-coated with an antibody specific to OC/BGP. Standards or samples are added to the appropriate micro CLIA plate wells and combined with the specific antibody. Then a biotinylated detection antibody specific for OC/BGP and Avidin-Horseradish Peroxidase (HRP) conjugate is added to each micro plate well successively and incubated. Free components are washed away. The substrate solution is added to each well. Only those wells that contain OC/BGP, biotinylated detection antibody and Avidin-HRP conjugate will appear fluorescence. The Relative light unit (RLU) value is measured spectrophotometrically by the Chemiluminescence immunoassay analyzer. The RLU value is positively associated with the concentration of OC/BGP. You can calculate the concentration of OC/BGP in the samples by comparing the RLU value of the samples to the standard curve.
Principle of the Assay: This kit uses Sandwich-CLIA as the method. The micro CLIA plate provided in this kit has been pre-coated with an antibody specific to OC/BGP. Standards or samples are added to the appropriate micro CLIA plate wells and combined with the specific antibody. Then a biotinylated detection antibody specific for OC/BGP and Avidin-Horseradish Peroxidase (HRP) conjugate is added to each micro plate well successively and incubated. Free components are washed away. The substrate solution is added to each well. Only those wells that contain OC/BGP, biotinylated detection antibody and Avidin-HRP conjugate will appear fluorescence. The Relative light unit (RLU) value is measured spectrophotometrically by the Chemiluminescence immunoassay analyzer. The RLU value is positively associated with the concentration of OC/BGP. You can calculate the concentration of OC/BGP in the samples by comparing the RLU value of the samples to the standard curve.
NCBI and Uniprot Product Information
NCBI GI #
NCBI GeneID
NCBI Accession #
NCBI GenBank Nucleotide #
Molecular Weight
10,963 Da
NCBI Official Full Name
osteocalcin preproprotein
NCBI Official Synonym Full Names
bone gamma-carboxyglutamate (gla) protein
NCBI Official Symbol
BGLAP
NCBI Official Synonym Symbols
OC; BGP; OCN
NCBI Protein Information
osteocalcin
UniProt Protein Name
Osteocalcin
UniProt Gene Name
BGLAP
UniProt Synonym Gene Names
BGP
UniProt Entry Name
OSTCN_HUMAN
Customer Reviews
Loading reviews...
Share Your Experience
Similar Products
Product Notes
The Mouse OC/BGP bglap (Catalog #AAA170849) is a CLIA Kit and is intended for research purposes only. The product is available for immediate purchase. The AAA170849 CLIA Kit recognizes Mouse OC/BGP. It is sometimes possible for the material contained within the vial of "OC/BGP (Osteocalcin), CLIA Kit" to become dispersed throughout the inside of the vial, particularly around the seal of said vial, during shipment and storage. We always suggest centrifuging these vials to consolidate all of the liquid away from the lid and to the bottom of the vial prior to opening. Please be advised that certain products may require dry ice for shipping and that, if this is the case, an additional dry ice fee may also be required.Precautions
All products in the AAA Biotech catalog are strictly for research-use only, and are absolutely not suitable for use in any sort of medical, therapeutic, prophylactic, in-vivo, or diagnostic capacity. By purchasing a product from AAA Biotech, you are explicitly certifying that said products will be properly tested and used in line with industry standard. AAA Biotech and its authorized distribution partners reserve the right to refuse to fulfill any order if we have any indication that a purchaser may be intending to use a product outside of our accepted criteria.Disclaimer
Though we do strive to guarantee the information represented in this datasheet, AAA Biotech cannot be held responsible for any oversights or imprecisions. AAA Biotech reserves the right to adjust any aspect of this datasheet at any time and without notice. It is the responsibility of the customer to inform AAA Biotech of any product performance issues observed or experienced within 30 days of receipt of said product. To see additional details on this or any of our other policies, please see our Terms & Conditions page.Item has been added to Shopping Cart
If you are ready to order, navigate to Shopping Cart and get ready to checkout.
