Mouse Coagulation Factor XI (F11) ELISA Kit | F11 elisa kit
Mouse Coagulation Factor XI (F11)(Sandwich ELISA) ELISA Kit
Gene Names
F11; FXI; Cf11; AI503996; 1600027G01Rik
Reactivity
Mouse
Applications
ELISA
Synonyms
Coagulation Factor XI (F11); N/A; Mouse Coagulation Factor XI (F11)(Sandwich ELISA) ELISA Kit; ELISA Kit for Coagulation Factor XI (F11); F11/Coagulation Factor XI; FXI; PTA; Fletcher Factor; Prekallikrein; Plasma Thromboplastin Antecedent; F11 elisa kit
Reactivity
Mouse
Specificity
This assay has high sensitivity and excellent specificity for detection of F11. No significant cross-reactivity or interference between F11 and analogues was observed.
Assay Type
Quantitative Sandwich
Samples
Mouse serum, plasma and other biological fluids
Detection Range
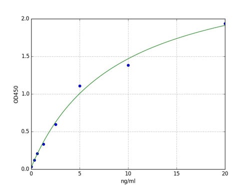
0.156-10ng/mL
Sensitivity
< 0.055ng/mL
Applicable Applications for F11 elisa kit
ELISA
Intra-assay Precision
Intra-assay Precision (Precision within an assay): 3 samples with low, middle and high level F11 were tested 20 times on one plate, respectively. Intra-Assay: CV<10%
Inter-assay Precision
Inter-assay Precision (Precision between assays): 3 samples with low, middle and high level F11 were tested on 3 different plates, 8 replicates in each plate. CV(%) = SD/meanX100. Inter-Assay: CV<12%
Preparation and Storage
Store at 4 degree C for 1 month/ -20 degree C for long-term (within shelf life).
The stability of kit is determined by the loss rate of activity. The loss rate of this kit is less than 5% within the expiration date under appropriate storage condition. To minimize extra influence on the performance, operation procedures and lab conditions, especially room temperature, air humidity, incubator temperature should be strictly controlled. It is also strongly suggested that the whole assay is performed by the same operator from the beginning to the end.
The stability of kit is determined by the loss rate of activity. The loss rate of this kit is less than 5% within the expiration date under appropriate storage condition. To minimize extra influence on the performance, operation procedures and lab conditions, especially room temperature, air humidity, incubator temperature should be strictly controlled. It is also strongly suggested that the whole assay is performed by the same operator from the beginning to the end.
Related Product Information for F11 elisa kit
Principle of the Assay: The microplate provided in this kit has been pre-coated with an antibody specific to F11. Standards or samples are then added to the appropriate microplate wells with a biotin-conjugated antibody specific to F11. Next, Avidin conjugated to Horseradish Peroxidase (HRP) is added to each microplate well and incubated. After TMB substrate solution is added, only those wells that contain F11, biotin-conjugated antibody and enzyme-conjugated Avidin will exhibit a change in color. The enzyme-substrate reaction is terminated by the addition of sulphuric acid solution and the color change is measured spectrophotometrically at a wavelength of 450nm ± 10nm. The concentration of F11 in the samples is then determined by comparing the O.D. of the samples to the standard curve.
Intended Uses: The kit is a sandwich enzyme immunoassay for in vitro quantitative measurement of F11 in mouse serum, plasma and other biological fluids.
Intended Uses: The kit is a sandwich enzyme immunoassay for in vitro quantitative measurement of F11 in mouse serum, plasma and other biological fluids.
Product Categories/Family for F11 elisa kit
NCBI and Uniprot Product Information
NCBI GI #
NCBI GeneID
NCBI Accession #
NCBI GenBank Nucleotide #
Molecular Weight
69,789 Da
NCBI Official Full Name
coagulation factor XI
NCBI Official Synonym Full Names
coagulation factor XI
NCBI Official Symbol
F11
NCBI Official Synonym Symbols
FXI; Cf11; AI503996; 1600027G01Rik
NCBI Protein Information
coagulation factor XI; PTA; plasma thromboplastin antecedent
UniProt Protein Name
Coagulation factor XI
UniProt Gene Name
F11
UniProt Synonym Gene Names
FXI; PTA
UniProt Entry Name
FA11_MOUSE
Customer Reviews
Loading reviews...
Share Your Experience
Similar Products
Product Notes
The Mouse F11 f11 (Catalog #AAA189534) is an ELISA Kit and is intended for research purposes only. The product is available for immediate purchase. The AAA189534 ELISA Kit recognizes Mouse F11. AAA Biotech's Coagulation Factor XI (F11) can be used in a range of immunoassay formats including, but not limited to, ELISA. Researchers should empirically determine the suitability of the F11 f11 for an application not listed in the data sheet. Researchers commonly develop new applications and it is an integral, important part of the investigative research process. It is sometimes possible for the material contained within the vial of "Coagulation Factor XI (F11), ELISA Kit" to become dispersed throughout the inside of the vial, particularly around the seal of said vial, during shipment and storage. We always suggest centrifuging these vials to consolidate all of the liquid away from the lid and to the bottom of the vial prior to opening. Please be advised that certain products may require dry ice for shipping and that, if this is the case, an additional dry ice fee may also be required.Precautions
All products in the AAA Biotech catalog are strictly for research-use only, and are absolutely not suitable for use in any sort of medical, therapeutic, prophylactic, in-vivo, or diagnostic capacity. By purchasing a product from AAA Biotech, you are explicitly certifying that said products will be properly tested and used in line with industry standard. AAA Biotech and its authorized distribution partners reserve the right to refuse to fulfill any order if we have any indication that a purchaser may be intending to use a product outside of our accepted criteria.Disclaimer
Though we do strive to guarantee the information represented in this datasheet, AAA Biotech cannot be held responsible for any oversights or imprecisions. AAA Biotech reserves the right to adjust any aspect of this datasheet at any time and without notice. It is the responsibility of the customer to inform AAA Biotech of any product performance issues observed or experienced within 30 days of receipt of said product. To see additional details on this or any of our other policies, please see our Terms & Conditions page.Item has been added to Shopping Cart
If you are ready to order, navigate to Shopping Cart and get ready to checkout.
