Reactivity
Mouse
Specificity
This kit recognizes Mouse F-TESTO in samples. No significant cross-reactivity or interference between Mouse F-TESTO and analogues was observed
Assay Type
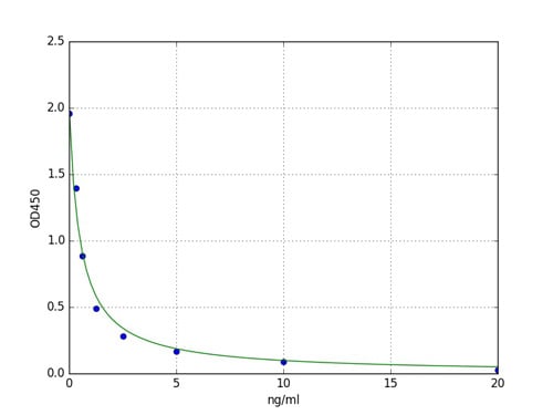
Quantitative Competitive
Samples
Serum, plasma and other biological fluids
Detection Range
31.25-2000 pg/mL
Sensitivity
18.75 pg/mL
Intra-assay Precision
Intra-assay Precision (Precision within an assay): 3 samples with low, mid range and high level Mouse F-TESTO were tested 20 times on one plate, respectively.
Inter-assay Precision
Inter-assay Precision (Precision between assays): 3 samples with low, mid range and high level Mouse F-TESTO were tested on 3 different plates, 20 replicates in each plate, respectively.
Preparation and Storage
Store at 4 degree C.
Related Product Information for F-TESTO elisa kit
Principle of the Assay: This ELISA kit uses the Competitive-ELISA principle. The micro ELISA plate provided in this kit has been pre-coated with Mouse F-TESTO. During the reaction, Mouse F- TESTO in samples or Standard competes with a fixed amount of Mouse F-TESTO on the solid phase supporter for sites on the Biotinylated Detection Ab specific to Mouse FTESTO. Excess conjugate and unbound sample or standard are washed from the plate, and Avidin conjugated to Horseradish Peroxidase (HRP) are added to each microplate well and incubated. Then a TMB substrate solution is added to each well. The enzyme- substrate reaction is terminated by the addition of stop solution and the color change is measured spectrophotometrically at a wavelength of 450 ± 2 nm. The concentration of Mouse F-TESTO in the samples is then determined by comparing the OD of the samples to the standard curve.
Intended Uses: This ELISA kit applies to the in vitro quantitative determination of Mouse F-TESTO concentrations in serum, plasma and other biological fluids.
Intended Uses: This ELISA kit applies to the in vitro quantitative determination of Mouse F-TESTO concentrations in serum, plasma and other biological fluids.
Customer Reviews
Loading reviews...
Share Your Experience
Similar Products
Product Notes
The Mouse F-TESTO (Catalog #AAA163689) is an ELISA Kit and is intended for research purposes only. The product is available for immediate purchase. The AAA163689 ELISA Kit recognizes Mouse F-TESTO. It is sometimes possible for the material contained within the vial of "F-TESTO, ELISA Kit" to become dispersed throughout the inside of the vial, particularly around the seal of said vial, during shipment and storage. We always suggest centrifuging these vials to consolidate all of the liquid away from the lid and to the bottom of the vial prior to opening. Please be advised that certain products may require dry ice for shipping and that, if this is the case, an additional dry ice fee may also be required.Precautions
All products in the AAA Biotech catalog are strictly for research-use only, and are absolutely not suitable for use in any sort of medical, therapeutic, prophylactic, in-vivo, or diagnostic capacity. By purchasing a product from AAA Biotech, you are explicitly certifying that said products will be properly tested and used in line with industry standard. AAA Biotech and its authorized distribution partners reserve the right to refuse to fulfill any order if we have any indication that a purchaser may be intending to use a product outside of our accepted criteria.Disclaimer
Though we do strive to guarantee the information represented in this datasheet, AAA Biotech cannot be held responsible for any oversights or imprecisions. AAA Biotech reserves the right to adjust any aspect of this datasheet at any time and without notice. It is the responsibility of the customer to inform AAA Biotech of any product performance issues observed or experienced within 30 days of receipt of said product. To see additional details on this or any of our other policies, please see our Terms & Conditions page.Item has been added to Shopping Cart
If you are ready to order, navigate to Shopping Cart and get ready to checkout.
