General Melatonin ELISA Kit | MT elisa kit
General species Melatonin (MT) (Competitive ELISA) High-sensitive ELISA Kit
Reactivity
General
Synonyms
Melatonin; N/A; General species Melatonin (MT) (Competitive ELISA) High-sensitive ELISA Kit; N-Acetyl-5-Methoxytryptamine; High Sensitive ELISA Kit for Melatonin (MT); MT elisa kit
Reactivity
General
Specificity
This assay has high sensitivity and excellent specificity for detection of melatonin. No significant cross-reactivity or interference between melatonin and analogues was observed.
Assay Type
Quantitative Competitive
Samples
Serum, plasma and other biological fluids
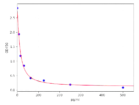
Detection Range
7.8-500pg/mL
Sensitivity
< 2.8pg/mL
Intra-assay Precision
Intra-assay Precision (Precision within an assay): 3 samples with low, middle and high level melatonin were tested 20 times on one plate, respectively. Intra-Assay: CV<10%
Inter-assay Precision
Inter-assay Precision (Precision between assays): 3 samples with low, middle and high level melatonin were tested on 3 different plates, 8 replicates in each plate. CV(%) = SD/meanX100. Inter-Assay: CV<12%
Preparation and Storage
4 degree C for 1 month/ -20 degree C for long-term(within shelf life). Shelf life is one year
Related Product Information for MT elisa kit
Principle of the Assay: This assay employs the competitive inhibition enzyme immunoassay technique. A monoclonal antibody specific to melatonin has been pre-coated onto a microplate. A competitive inhibition reaction is launched between biotin labeled melatonin and unlabeled melatonin (Standards or samples) with the pre-coated antibody specific to melatonin. After incubation the unbound conjugate is washed off. Next, avidin conjugated to Horseradish Peroxidase (HRP) is added to each microplate well and incubated. The amount of bound HRP conjugate is reverse proportional to the concentration of melatonin in the sample. After addition of the substrate solution, the intensity of color developed is reverse proportional to the concentration of melatonin in the sample.
Intended Uses: The kit is a competitive inhibition enzyme immunoassay technique for the in vitro quantitative measurement of melatonin in serum, plasma and other biological fluids.
Intended Uses: The kit is a competitive inhibition enzyme immunoassay technique for the in vitro quantitative measurement of melatonin in serum, plasma and other biological fluids.
Product Categories/Family for MT elisa kit
Customer Reviews
Loading reviews...
Share Your Experience
Similar Products
Product Notes
The General MT (Catalog #AAA190069) is an ELISA Kit and is intended for research purposes only. The product is available for immediate purchase. The AAA190069 ELISA Kit recognizes General MT. It is sometimes possible for the material contained within the vial of "Melatonin, ELISA Kit" to become dispersed throughout the inside of the vial, particularly around the seal of said vial, during shipment and storage. We always suggest centrifuging these vials to consolidate all of the liquid away from the lid and to the bottom of the vial prior to opening. Please be advised that certain products may require dry ice for shipping and that, if this is the case, an additional dry ice fee may also be required.Precautions
All products in the AAA Biotech catalog are strictly for research-use only, and are absolutely not suitable for use in any sort of medical, therapeutic, prophylactic, in-vivo, or diagnostic capacity. By purchasing a product from AAA Biotech, you are explicitly certifying that said products will be properly tested and used in line with industry standard. AAA Biotech and its authorized distribution partners reserve the right to refuse to fulfill any order if we have any indication that a purchaser may be intending to use a product outside of our accepted criteria.Disclaimer
Though we do strive to guarantee the information represented in this datasheet, AAA Biotech cannot be held responsible for any oversights or imprecisions. AAA Biotech reserves the right to adjust any aspect of this datasheet at any time and without notice. It is the responsibility of the customer to inform AAA Biotech of any product performance issues observed or experienced within 30 days of receipt of said product. To see additional details on this or any of our other policies, please see our Terms & Conditions page.Item has been added to Shopping Cart
If you are ready to order, navigate to Shopping Cart and get ready to checkout.
