Reactivity
Bovine
Specificity
This assay has high sensitivity and excellent specificity for detection of OVA. No significant cross-reactivity or interference between OVA and analogues was observed. NOTE: Limited by current skills and knowledge, it is impossible for us to complete the cross-reactivity detection between OVA and all the analogues, therefore, cross reaction may still exist in some cases.
Sequence Length
386
Assay Type
Quantitative Competitive
Samples
Serum, plasma, cell culture supernatants, body fluid and tissue homogenate
Sensitivity
0.1 ng/ml
Reactivity Note
No significant cross-reactivity or interference between this antigen and analogues was observed. NOTE: Limited by current skills and knowledge, it is impossible for us to complete the cross-reactivity detection, therefore, cross reaction may still exist in some cases.
Preparation and Storage
Store at 2-8 degree C.
The stability of kit is determined by the loss rate of activity. The loss rate of this kit is less than 5% within the expiration date under appropriate storage condition.
The stability of kit is determined by the loss rate of activity. The loss rate of this kit is less than 5% within the expiration date under appropriate storage condition.
Related Product Information for OVA elisa kit
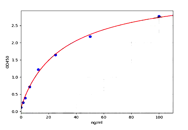
Principle of the Assay: OVA ELISA kit applies the competitive enzyme immunoassay technique utilizing a polyclonal anti-OVA antibody and an OVA-HRP conjugate. The assay sample and buffer are incubated together with OVA-HRP conjugate in pre-coated plate for one hour. After the incubation period, the wells are decanted and washed five times. The wells are then incubated with a substrate for HRP enzyme. The product of the enzyme-substrate reaction forms a blue colored complex. Finally, a stop solution is added to stop the reaction, which will then turn the solution yellow. The intensity of color is measured spectrophotometrically at 450nm in a microplate reader. The intensity of the color is inversely proportional to the OVA concentration since OVA from samples and OVA-HRP conjugate compete for the anti-OVA antibody binding site. Since the number of sites is limited, as more sites are occupied by OVA from the sample, fewer sites are left to bind OVA-HRP conjugate. A standard curve is plotted relating the intensity of the color (O.D.) to the concentration of standards. The OVA concentration in each sample is interpolated from this standard curve.
Intended Uses: This OVA ELISA kit is a 1.5 hour solid-phase ELISA designed for the quantitative determination of Bovine OVA. This ELISA kit for research use only, not for therapeutic or test applications!
Intended Uses: This OVA ELISA kit is a 1.5 hour solid-phase ELISA designed for the quantitative determination of Bovine OVA. This ELISA kit for research use only, not for therapeutic or test applications!
Product Categories/Family for OVA elisa kit
NCBI and Uniprot Product Information
NCBI GI #
NCBI GeneID
NCBI Accession #
NCBI GenBank Nucleotide #
NCBI Official Full Name
ovalbumin
NCBI Official Symbol
OVAL
NCBI Protein Information
ovalbumin
Customer Reviews
Loading reviews...
Share Your Experience
Similar Products
Product Notes
The Bovine OVA (Catalog #AAA247522) is an ELISA Kit and is intended for research purposes only. The product is available for immediate purchase. The AAA247522 ELISA Kit recognizes Bovine OVA. It is sometimes possible for the material contained within the vial of "Ovalbumin, ELISA Kit" to become dispersed throughout the inside of the vial, particularly around the seal of said vial, during shipment and storage. We always suggest centrifuging these vials to consolidate all of the liquid away from the lid and to the bottom of the vial prior to opening. Please be advised that certain products may require dry ice for shipping and that, if this is the case, an additional dry ice fee may also be required.Precautions
All products in the AAA Biotech catalog are strictly for research-use only, and are absolutely not suitable for use in any sort of medical, therapeutic, prophylactic, in-vivo, or diagnostic capacity. By purchasing a product from AAA Biotech, you are explicitly certifying that said products will be properly tested and used in line with industry standard. AAA Biotech and its authorized distribution partners reserve the right to refuse to fulfill any order if we have any indication that a purchaser may be intending to use a product outside of our accepted criteria.Disclaimer
Though we do strive to guarantee the information represented in this datasheet, AAA Biotech cannot be held responsible for any oversights or imprecisions. AAA Biotech reserves the right to adjust any aspect of this datasheet at any time and without notice. It is the responsibility of the customer to inform AAA Biotech of any product performance issues observed or experienced within 30 days of receipt of said product. To see additional details on this or any of our other policies, please see our Terms & Conditions page.Item has been added to Shopping Cart
If you are ready to order, navigate to Shopping Cart and get ready to checkout.
