Mouse protein disulfide isomerase family A, member 4 ELISA Kit | PDIA4 elisa kit
Mouse Protein disulfide-isomerase A4, PDIA4 ELISA Kit
Gene Names
Pdia4; Cai; Erp72; ERp-72; AI987846
Reactivity
Mouse
Synonyms
protein disulfide isomerase family A, member 4; N/A; Mouse Protein disulfide-isomerase A4, PDIA4 ELISA Kit; Mouse Protein disulfide-isomerase A4 (PDIA4) ELISA kit; ERP70; ERP72; protein disulfide isomerase A4; protein disulfide isomerase related protein (calcium-binding protein; intestinal-related) ; protein disulfide isomerase-associated 4; protein disulfide isomerase family A; member 4; PDIA4 elisa kit
Reactivity
Mouse
Specificity
This assay has high sensitivity and excellent specificity for detection of mouse PDIA4. No significant cross-reactivity or interference between mouse PDIA4 and analogues was observed.
Sequence Length
641
Samples
Serum, plasma, tissue homogenates, Cell lysates
Assay Type
Sandwich
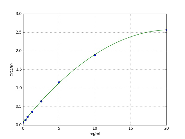
Detection Range
0.312 ng/ml -20 ng/ml.
Sensitivity
The minimum detectable dose of mouse PDIA4 is typically less than 0.078 ng/ml.The sensitivity of this assay, or Lower Limit of Detection (LLD) was defined as the lowest protein concentration that could be differentiated from zero. It was determined the mean O.D value of 20 replicates of the zero standard added by their three standard deviations.
Intra-assay Precision
Intra-assay Precision (Precision within an assay): CV%<8%. Three samples of known concentration were tested twenty times on one plate to assess.
Inter-assay Precision
Inter-assay Precision (Precision between assays): CV%<10%. Three samples of known concentration were tested in twenty assays to assess.
Preparation and Storage
Unopened test kits should be stored at 2 to 8 degree C upon receipt. Please refer to pdf manual for further storage instructions.
Related Product Information for PDIA4 elisa kit
Principle of the assay: This assay employs the quantitative sandwich enzyme immunoassay technique. Antibody specific for PDIA4 has been pre-coated onto a microplate. Standards and samples are pipetted into the wells and any PDIA4 present is bound by the immobilized antibody. After removing any unbound substances, a biotin-conjugated antibody specific for PDIA4 is added to the wells. After washing, avidin conjugated Horseradish Peroxidase (HRP) is added to the wells. Following a wash to remove any unbound avidin-enzyme reagent, a substrate solution is added to the wells and color develops in proportion to the amount of PDIA4 bound in the initial step. The color development is stopped and the intensity of the color is measured.
NCBI and Uniprot Product Information
NCBI GI #
NCBI GeneID
NCBI Accession #
NCBI GenBank Nucleotide #
Molecular Weight
71,982 Da
NCBI Official Full Name
protein disulfide-isomerase A4
NCBI Official Synonym Full Names
protein disulfide isomerase associated 4
NCBI Official Symbol
Pdia4
NCBI Official Synonym Symbols
Cai; Erp72; ERp-72; AI987846
NCBI Protein Information
protein disulfide-isomerase A4; ER protein 72; endoplasmic reticulum protein 72; calcium binding protein, intestinal; endoplasmic reticulum resident protein 72
UniProt Protein Name
Protein disulfide-isomerase A4
UniProt Gene Name
Pdia4
UniProt Synonym Gene Names
Cai; Erp72; ER protein 72; ERp-72; ERp72
UniProt Entry Name
PDIA4_MOUSE
Customer Reviews
Loading reviews...
Share Your Experience
Similar Products
Product Notes
The Mouse PDIA4 pdia4 (Catalog #AAA112270) is an ELISA Kit and is intended for research purposes only. The product is available for immediate purchase. The AAA112270 ELISA Kit recognizes Mouse PDIA4. It is sometimes possible for the material contained within the vial of "protein disulfide isomerase family A, member 4, ELISA Kit" to become dispersed throughout the inside of the vial, particularly around the seal of said vial, during shipment and storage. We always suggest centrifuging these vials to consolidate all of the liquid away from the lid and to the bottom of the vial prior to opening. Please be advised that certain products may require dry ice for shipping and that, if this is the case, an additional dry ice fee may also be required.Precautions
All products in the AAA Biotech catalog are strictly for research-use only, and are absolutely not suitable for use in any sort of medical, therapeutic, prophylactic, in-vivo, or diagnostic capacity. By purchasing a product from AAA Biotech, you are explicitly certifying that said products will be properly tested and used in line with industry standard. AAA Biotech and its authorized distribution partners reserve the right to refuse to fulfill any order if we have any indication that a purchaser may be intending to use a product outside of our accepted criteria.Disclaimer
Though we do strive to guarantee the information represented in this datasheet, AAA Biotech cannot be held responsible for any oversights or imprecisions. AAA Biotech reserves the right to adjust any aspect of this datasheet at any time and without notice. It is the responsibility of the customer to inform AAA Biotech of any product performance issues observed or experienced within 30 days of receipt of said product. To see additional details on this or any of our other policies, please see our Terms & Conditions page.Item has been added to Shopping Cart
If you are ready to order, navigate to Shopping Cart and get ready to checkout.
