Rabbit anti-Human ACD10 Polyclonal Antibody | anti-ACAD10 antibody
ACD10 Antibody (Center)
FCM/FACS (Flow Cytometry)
(ACD10 Antibody (Center) flow cytometric analysis of NCI-H460 cells (right histogram) compared to a negative control cell (left histogram).FITC-conjugated goat-anti-rabbit secondary antibodies were used for the analysis.)
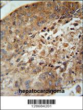
IHC (Immunohiostchemistry)
(ACD10 Antibody (Center) immunohistochemistry analysis in formalin fixed and paraffin embedded human hepatocarcinoma followed by peroxidase conjugation of the secondary antibody and DAB staining. This data demonstrates the use of the ACD10 Antibody (Center) for immunohistochemistry. Clinical relevance has not been evaluated.)
WB (Western Blot)
(ACD10 Antibody (Center) western blot analysis in NCI-H460 cell line lysates (35ug/lane).This demonstrates the ACD10 antibody detected the ACD10 protein (arrow).)
family of enzymes (ACADs), which participate in the beta-oxidation
of fatty acids in mitochondria. The encoded enzyme contains a
hydrolase domain at the N-terminal portion, a serine/threonine
protein kinase catlytic domain in the central region, and a
conserved ACAD domain at the C-terminus. Several alternatively
spliced transcript variants of this gene have been described, but
the full-length nature of some of these variants has not been
determined.
Rose, J.E., et al. Mol. Med. 16 (7-8), 247-253 (2010) :
Vega, A., et al. Gynecol. Oncol. 112(1):210-214(2009)
Ye, X., et al. Mol. Biol. Rep. 31(3):191-195(2004)
Sogayar, M.C., et al. Genome Res. 14(7):1413-1423(2004)
NCBI and Uniprot Product Information
Customer Reviews
Loading reviews...
Share Your Experience
Similar Products
Product Notes
The ACAD10 acad10 (Catalog #AAA287679) is an Antibody produced from Rabbit and is intended for research purposes only. The product is available for immediate purchase. The immunogen sequence is 393-421. The ACD10 Antibody (Center) reacts with Human and may cross-react with other species as described in the data sheet. AAA Biotech's ACD10 can be used in a range of immunoassay formats including, but not limited to, FCM/FACS (Flow Cytometry), IHC (Immunohistochemistry), ELISA, WB (Western Blot). Researchers should empirically determine the suitability of the ACAD10 acad10 for an application not listed in the data sheet. Researchers commonly develop new applications and it is an integral, important part of the investigative research process. It is sometimes possible for the material contained within the vial of "ACD10, Polyclonal Antibody" to become dispersed throughout the inside of the vial, particularly around the seal of said vial, during shipment and storage. We always suggest centrifuging these vials to consolidate all of the liquid away from the lid and to the bottom of the vial prior to opening. Please be advised that certain products may require dry ice for shipping and that, if this is the case, an additional dry ice fee may also be required.Precautions
All products in the AAA Biotech catalog are strictly for research-use only, and are absolutely not suitable for use in any sort of medical, therapeutic, prophylactic, in-vivo, or diagnostic capacity. By purchasing a product from AAA Biotech, you are explicitly certifying that said products will be properly tested and used in line with industry standard. AAA Biotech and its authorized distribution partners reserve the right to refuse to fulfill any order if we have any indication that a purchaser may be intending to use a product outside of our accepted criteria.Disclaimer
Though we do strive to guarantee the information represented in this datasheet, AAA Biotech cannot be held responsible for any oversights or imprecisions. AAA Biotech reserves the right to adjust any aspect of this datasheet at any time and without notice. It is the responsibility of the customer to inform AAA Biotech of any product performance issues observed or experienced within 30 days of receipt of said product. To see additional details on this or any of our other policies, please see our Terms & Conditions page.Item has been added to Shopping Cart
If you are ready to order, navigate to Shopping Cart and get ready to checkout.
