Rabbit CIDEC Polyclonal Antibody | anti-CIDEC antibody
CIDEC Polyclonal Antibody
Gene Names
CIDEC; CIDE3; FPLD5; FSP27; CIDE-3
Reactivity
Human, Mouse, Rat
Applications
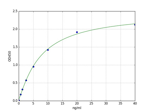
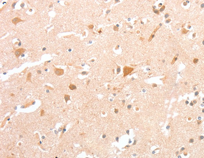
Immunohistochemistry, ELISA
Purity
Antigen affinity purification
Synonyms
CIDEC, Antibody; CIDEC Polyclonal Antibody; CIDE3; FPLD5; FSP27; CIDE-3; anti-CIDEC antibody
Host
Rabbit
Reactivity
Human, Mouse, Rat
Clonality
Polyclonal
Isotype
IgG
Purity/Purification
Antigen affinity purification
Concentration
1.6mg/mL (varies by lot)
Sequence Length
238
Applicable Applications for anti-CIDEC antibody
IHC (Immunohistochemistry), ELISA
Immunogen
Recombinant protein of human CIDEC
Buffer
PBS with 0.05% sodium azide, 50% glycerol, pH7.3
Preparation and Storage
Store at -20 degree C (regular) and -80 degree C (long term). Avoid freeze / thaw cycles.
Related Product Information for anti-CIDEC antibody
This gene encodes a member of the cell death-inducing DNA fragmentation factor-like effector family. Members of this family play important roles in apoptosis. The encoded protein promotes lipid droplet formation in adipocytes and may mediate adipocyte apoptosis. This gene is regulated by insulin and its expression is positively correlated with insulin sensitivity. Mutations in this gene may contribute to insulin resistant diabetes. A pseudogene of this gene is located on the short arm of chromosome 3. Alternatively spliced transcript variants that encode different isoforms have been observed for this gene.
Product Categories/Family for anti-CIDEC antibody
NCBI and Uniprot Product Information
NCBI GI #
NCBI GeneID
NCBI Accession #
NCBI GenBank Nucleotide #
Molecular Weight
27,923 Da
NCBI Official Full Name
cell death activator CIDE-3 isoform 3
NCBI Official Synonym Full Names
cell death-inducing DFFA-like effector c
NCBI Official Symbol
CIDEC
NCBI Official Synonym Symbols
CIDE3; FPLD5; FSP27; CIDE-3
NCBI Protein Information
cell death activator CIDE-3; fat specific protein 27
UniProt Protein Name
Cell death activator CIDE-3
UniProt Gene Name
CIDEC
UniProt Synonym Gene Names
FSP27
UniProt Entry Name
CIDEC_HUMAN
Customer Reviews
Loading reviews...
Share Your Experience
Similar Products
Product Notes
The CIDEC cidec (Catalog #AAA167580) is an Antibody produced from Rabbit and is intended for research purposes only. The product is available for immediate purchase. The CIDEC Polyclonal Antibody reacts with Human, Mouse, Rat and may cross-react with other species as described in the data sheet. AAA Biotech's CIDEC can be used in a range of immunoassay formats including, but not limited to, IHC (Immunohistochemistry), ELISA. Researchers should empirically determine the suitability of the CIDEC cidec for an application not listed in the data sheet. Researchers commonly develop new applications and it is an integral, important part of the investigative research process. It is sometimes possible for the material contained within the vial of "CIDEC, Polyclonal Antibody" to become dispersed throughout the inside of the vial, particularly around the seal of said vial, during shipment and storage. We always suggest centrifuging these vials to consolidate all of the liquid away from the lid and to the bottom of the vial prior to opening. Please be advised that certain products may require dry ice for shipping and that, if this is the case, an additional dry ice fee may also be required.Precautions
All products in the AAA Biotech catalog are strictly for research-use only, and are absolutely not suitable for use in any sort of medical, therapeutic, prophylactic, in-vivo, or diagnostic capacity. By purchasing a product from AAA Biotech, you are explicitly certifying that said products will be properly tested and used in line with industry standard. AAA Biotech and its authorized distribution partners reserve the right to refuse to fulfill any order if we have any indication that a purchaser may be intending to use a product outside of our accepted criteria.Disclaimer
Though we do strive to guarantee the information represented in this datasheet, AAA Biotech cannot be held responsible for any oversights or imprecisions. AAA Biotech reserves the right to adjust any aspect of this datasheet at any time and without notice. It is the responsibility of the customer to inform AAA Biotech of any product performance issues observed or experienced within 30 days of receipt of said product. To see additional details on this or any of our other policies, please see our Terms & Conditions page.Item has been added to Shopping Cart
If you are ready to order, navigate to Shopping Cart and get ready to checkout.
