Rabbit COL6A5 Polyclonal Antibody | anti-COL6A5 antibody
COL6A5 Antibody - C-terminal region
Predicted Species Reactivity: Human, Mouse, Rat, Cow, Dog, Guinea Pig, Horse, Rabbit
Predicted Species Reactivity: Human, Mouse, Rat, Cow, Dog, Guinea Pig, Horse, Rabbit
Application Data
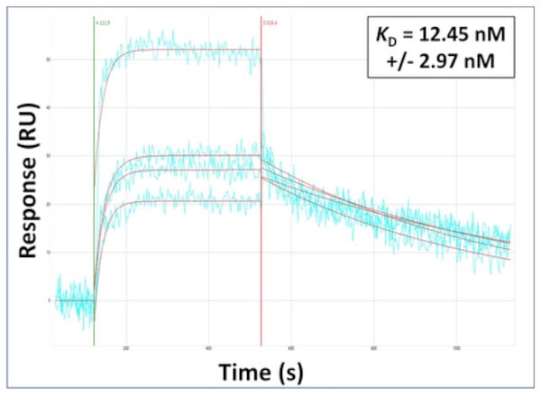
(Surface Plasmon Resonance Kinetic Characterization of Polyclonal Antibody Affinity. Purified polyclonal antibodies were immobilized on a Protein A/G coated Carterra LSA sensor chip (please inquire) at concentrations of 5, and 50 ug/mL in duplicate. Antibodies on the surface were exposed to interaction with peptides sequentially via microfluidic controlled flow at 333nM peptide concentration for kinetic characterization of the binders for affinity and specificity, followed by curve fitting using the Kinetics software. Kd determinations for both concentrations were averaged and results and standard deviation are shown.)
WB (Western Blot)
(Host: RabbitTarget: COL6A5Positive control (+): Human Lung (LU)Negative control (-): Human Placenta (PL)Antibody concentration: 1ug/ml)
WB (Western Blot)
(Host: RabbitTarget Name: COL6A5Sample Type: Fetal Heart lysatesAntibody Dilution: 1.0ug/ml)
Target Description: The protein encoded by this gene is a collagen that contains N- and C-terminal von Willebrand factor A-like domains. The encoded protein may interact with the alpha 1 and alpha 2 chains of collagen VI to form the complete collagen VI trimer. Sequence polymorphisms in this gene have been linked to atopic dermatitis (eczema). Two transcript variants, one protein-coding and the other probably not protein-coding, have been found for this gene.
NCBI and Uniprot Product Information
Customer Reviews
Loading reviews...
Share Your Experience
Similar Products
Product Notes
The COL6A5 col6a5 (Catalog #AAA201387) is an Antibody produced from Rabbit and is intended for research purposes only. The product is available for immediate purchase. The COL6A5 Antibody - C-terminal region reacts with Tested Species Reactivity: Human Predicted Species Reactivity: Human, Mouse, Rat, Cow, Dog, Guinea Pig, Horse, Rabbit and may cross-react with other species as described in the data sheet. AAA Biotech's COL6A5 can be used in a range of immunoassay formats including, but not limited to, WB (Western Blot). Researchers should empirically determine the suitability of the COL6A5 col6a5 for an application not listed in the data sheet. Researchers commonly develop new applications and it is an integral, important part of the investigative research process. The amino acid sequence is listed below: Synthetic peptide located within the following region: RNVSLRAKCQ GYSIFVFSFG PKHNDKELEE LASHPLDHHL VQLGRTHKPD. It is sometimes possible for the material contained within the vial of "COL6A5, Polyclonal Antibody" to become dispersed throughout the inside of the vial, particularly around the seal of said vial, during shipment and storage. We always suggest centrifuging these vials to consolidate all of the liquid away from the lid and to the bottom of the vial prior to opening. Please be advised that certain products may require dry ice for shipping and that, if this is the case, an additional dry ice fee may also be required.Precautions
All products in the AAA Biotech catalog are strictly for research-use only, and are absolutely not suitable for use in any sort of medical, therapeutic, prophylactic, in-vivo, or diagnostic capacity. By purchasing a product from AAA Biotech, you are explicitly certifying that said products will be properly tested and used in line with industry standard. AAA Biotech and its authorized distribution partners reserve the right to refuse to fulfill any order if we have any indication that a purchaser may be intending to use a product outside of our accepted criteria.Disclaimer
Though we do strive to guarantee the information represented in this datasheet, AAA Biotech cannot be held responsible for any oversights or imprecisions. AAA Biotech reserves the right to adjust any aspect of this datasheet at any time and without notice. It is the responsibility of the customer to inform AAA Biotech of any product performance issues observed or experienced within 30 days of receipt of said product. To see additional details on this or any of our other policies, please see our Terms & Conditions page.Item has been added to Shopping Cart
If you are ready to order, navigate to Shopping Cart and get ready to checkout.
