Rabbit anti-Human, Mouse Hox-B9 Polyclonal Antibody | anti-Hox-B9 antibody
Hox-B9 Polyclonal Antibody
Gene Names
HOXB9; HOX2; HOX2E; HOX-2.5
Reactivity
Human, Mouse
Applications
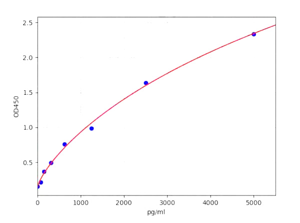
ELISA, Immunohistochemistry, Western Blot
Purity
The antibody was affinity-purified from rabbit antiserum by affinity-chromatography using epitope-specific immunogen.
Synonyms
Hox-B9, Antibody; Hox-B9 Polyclonal Antibody; HOXB9; HOX2E; Homeobox protein Hox-B9; Homeobox protein Hox-2.5; Homeobox protein Hox-2E; anti-Hox-B9 antibody
Host
Rabbit
Reactivity
Human, Mouse
Clonality
Polyclonal
Specificity
Hox-B9 Polyclonal Antibody detects endogenous levels of Hox-B9 protein.
Purity/Purification
The antibody was affinity-purified from rabbit antiserum by affinity-chromatography using epitope-specific immunogen.
Form/Format
Liquid in PBS containing 50% glycerol, 0.5% BSA and 0.02% sodium azide.
Concentration
1 mg/ml (varies by lot)
Sequence Length
250
Applicable Applications for anti-Hox-B9 antibody
ELISA, IHC (Immunohistochemistry), WB (Western Blot)
Immunogen Type
peptide
Immunogen Description
Synthesized peptide derived from the C-terminal region of human Hox-B9.
Target Name
Hox-B9
Preparation and Storage
Store at -20 degree C/1 year
Product Categories/Family for anti-Hox-B9 antibody
NCBI and Uniprot Product Information
NCBI GI #
NCBI GeneID
NCBI Accession #
NCBI GenBank Nucleotide #
Molecular Weight
28,059 Da
NCBI Official Full Name
homeobox protein Hox-B9
NCBI Official Synonym Full Names
homeobox B9
NCBI Official Symbol
HOXB9
NCBI Official Synonym Symbols
HOX2; HOX2E; HOX-2.5
NCBI Protein Information
homeobox protein Hox-B9
UniProt Protein Name
Homeobox protein Hox-B9
UniProt Gene Name
HOXB9
UniProt Synonym Gene Names
HOX2E
UniProt Entry Name
HXB9_HUMAN
Customer Reviews
Loading reviews...
Share Your Experience
Similar Products
Product Notes
The Hox-B9 hoxb9 (Catalog #AAA306089) is an Antibody produced from Rabbit and is intended for research purposes only. The product is available for immediate purchase. The Hox-B9 Polyclonal Antibody reacts with Human, Mouse and may cross-react with other species as described in the data sheet. AAA Biotech's Hox-B9 can be used in a range of immunoassay formats including, but not limited to, ELISA, IHC (Immunohistochemistry), WB (Western Blot). Researchers should empirically determine the suitability of the Hox-B9 hoxb9 for an application not listed in the data sheet. Researchers commonly develop new applications and it is an integral, important part of the investigative research process. It is sometimes possible for the material contained within the vial of "Hox-B9, Polyclonal Antibody" to become dispersed throughout the inside of the vial, particularly around the seal of said vial, during shipment and storage. We always suggest centrifuging these vials to consolidate all of the liquid away from the lid and to the bottom of the vial prior to opening. Please be advised that certain products may require dry ice for shipping and that, if this is the case, an additional dry ice fee may also be required.Precautions
All products in the AAA Biotech catalog are strictly for research-use only, and are absolutely not suitable for use in any sort of medical, therapeutic, prophylactic, in-vivo, or diagnostic capacity. By purchasing a product from AAA Biotech, you are explicitly certifying that said products will be properly tested and used in line with industry standard. AAA Biotech and its authorized distribution partners reserve the right to refuse to fulfill any order if we have any indication that a purchaser may be intending to use a product outside of our accepted criteria.Disclaimer
Though we do strive to guarantee the information represented in this datasheet, AAA Biotech cannot be held responsible for any oversights or imprecisions. AAA Biotech reserves the right to adjust any aspect of this datasheet at any time and without notice. It is the responsibility of the customer to inform AAA Biotech of any product performance issues observed or experienced within 30 days of receipt of said product. To see additional details on this or any of our other policies, please see our Terms & Conditions page.Item has been added to Shopping Cart
If you are ready to order, navigate to Shopping Cart and get ready to checkout.
