Rabbit anti-Human PPP1R15B Polyclonal Antibody | anti-PPP1R15B antibody
PPP1R15B Polyclonal Antibody
Gene Names
PPP1R15B; CREP; MSSGM2
Reactivity
Human
Applications
ELISA, Immunohistochemistry, Western Blot
Purity
Affinity purification
Synonyms
PPP1R15B, Antibody; PPP1R15B Polyclonal Antibody; PPP1R15B; Protein phosphatase 1 regulatory subunit 15B; anti-PPP1R15B antibody
Host
Rabbit
Reactivity
Human
Clonality
Polyclonal
Isotype
IgG
Purity/Purification
Affinity purification
Applicable Applications for anti-PPP1R15B antibody
ELISA, IHC (Immunohistochemistry), WB (Western Blot)
Immunogen
Synthesized peptide derived from the Internal region of human PPP1R15B.
Buffer
PBS with 0.02% sodium azide, 0.5% BSA and 50% glycerol, pH7.4
Santa Cruz Alternative
Potential replacement for Santa Cruz Biotechnology antibody catalog# sc-138534 / sc-138536
Note
Centrifuge before opening to ensure complete recovery of vial contents.
Preparation and Storage
Store at -20 degree C. Avoid freeze / thaw cycles.
Related Product Information for anti-PPP1R15B antibody
This gene encodes a protein phosphatase I-interacting protein that promotes the dephosphorylation of eukaryotic translation initiation factor 2A to regulate translation under conditions of cellular stress. The transcribed messenger RNA contains two upstream open reading frames (ORFs) that repress translation of the main protein coding ORF under normal conditions, while the protein coding ORF is expressed at high levels in response to stress. Continual translation of the mRNA under conditions of eukaryotic translation initiation factor 2A inactivation is thought to create a feedback loop for reactivation of the gene during recovery from stress. In addition, it has been shown that this protein plays a role in membrane traffic that is independent of translation and that it is required for exocytosis from erythroleukemia cells. Allelic variants of this gene are associated with microcephaly, short stature, and impaired glucose metabolism.PPP1R15B (Protein Phosphatase 1 Regulatory Subunit 15B) is a Protein Coding gene. Diseases associated with PPP1R15B include Microcephaly, Short Stature, And Impaired Glucose Metabolism 2 and Primary Microcephaly-Mild Intellectual Disability-Young-Onset Diabetes Syndrome. GO annotations related to this gene include protein serine/threonine phosphatase activity.
NCBI and Uniprot Product Information
NCBI GI #
NCBI GeneID
NCBI Accession #
NCBI GenBank Nucleotide #
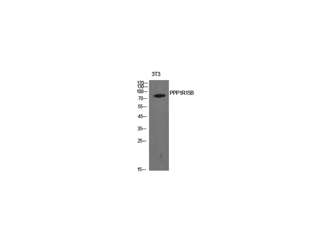
Molecular Weight
Calculated MW: 78
Observed MW: 78
Observed MW: 78
NCBI Official Full Name
protein phosphatase 1 regulatory subunit 15B
NCBI Official Synonym Full Names
protein phosphatase 1 regulatory subunit 15B
NCBI Official Symbol
PPP1R15B
NCBI Official Synonym Symbols
CREP; MSSGM2
NCBI Protein Information
protein phosphatase 1 regulatory subunit 15B
UniProt Protein Name
Protein phosphatase 1 regulatory subunit 15B
UniProt Gene Name
PPP1R15B
UniProt Entry Name
PR15B_HUMAN
Customer Reviews
Loading reviews...
Share Your Experience
Similar Products
Product Notes
The PPP1R15B ppp1r15b (Catalog #AAA172208) is an Antibody produced from Rabbit and is intended for research purposes only. The product is available for immediate purchase. The PPP1R15B Polyclonal Antibody reacts with Human and may cross-react with other species as described in the data sheet. AAA Biotech's PPP1R15B can be used in a range of immunoassay formats including, but not limited to, ELISA, IHC (Immunohistochemistry), WB (Western Blot). Researchers should empirically determine the suitability of the PPP1R15B ppp1r15b for an application not listed in the data sheet. Researchers commonly develop new applications and it is an integral, important part of the investigative research process. It is sometimes possible for the material contained within the vial of "PPP1R15B, Polyclonal Antibody" to become dispersed throughout the inside of the vial, particularly around the seal of said vial, during shipment and storage. We always suggest centrifuging these vials to consolidate all of the liquid away from the lid and to the bottom of the vial prior to opening. Please be advised that certain products may require dry ice for shipping and that, if this is the case, an additional dry ice fee may also be required.Precautions
All products in the AAA Biotech catalog are strictly for research-use only, and are absolutely not suitable for use in any sort of medical, therapeutic, prophylactic, in-vivo, or diagnostic capacity. By purchasing a product from AAA Biotech, you are explicitly certifying that said products will be properly tested and used in line with industry standard. AAA Biotech and its authorized distribution partners reserve the right to refuse to fulfill any order if we have any indication that a purchaser may be intending to use a product outside of our accepted criteria.Disclaimer
Though we do strive to guarantee the information represented in this datasheet, AAA Biotech cannot be held responsible for any oversights or imprecisions. AAA Biotech reserves the right to adjust any aspect of this datasheet at any time and without notice. It is the responsibility of the customer to inform AAA Biotech of any product performance issues observed or experienced within 30 days of receipt of said product. To see additional details on this or any of our other policies, please see our Terms & Conditions page.Item has been added to Shopping Cart
If you are ready to order, navigate to Shopping Cart and get ready to checkout.
