Reactivity
Rat
Sequence Length
357
Assay Type
Sandwich
Samples
Serum, Plasma, Tissue Homogenates, Cell Lysates, Cell Culture Supernates or Other Biological Fluids.
Detection Range
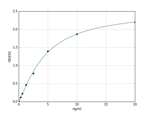
1.56-100ng/mL
Sensitivity
0.66ng/mL
RTU ELISA Kit's Advantage
The Ready-To-Use (RTU) Kits require fewer steps in setup and take less time to run. Detection Solutions are pre-diluted and total incubation time is shorter than many other ELISA Kits.
Preparation and Storage
For unopened kits: All the reagents should be kept at 4 degree C upon receipt.
For opened kits: Once the kit is opened, the remaining reagents still need to be stored according to the above storage conditions. In addition, return the unused wells to the foil pouch containing the desiccant pack and reseal along entire edge of zip-seal.
For opened kits: Once the kit is opened, the remaining reagents still need to be stored according to the above storage conditions. In addition, return the unused wells to the foil pouch containing the desiccant pack and reseal along entire edge of zip-seal.
Related Product Information for SDH rtu elisa kit
Test Principle: The microtiter plate provided in this kit has been pre-coated with an antibody specific to SDH. Standards or samples are then added to the appropriate microtiter plate wells with a biotin-conjugated antibody preparation specific to SDH. Next, Avidin conjugated to Horseradish Peroxidase (HRP) is added to each microplate well and incubated. After TMB substrate solution is added, only those wells that contain SDH, biotin-conjugated antibody and enzyme-conjugated Avidin will exhibit a change in color. The enzyme-substrate reaction is terminated by the addition of sulphuric acid solution and the color change is measured spectrophotometrically at a wavelength of 450nm ± 10nm. The concentration of SDH in the samples is then determined by comparing the O.D. of the samples to the standard curve.
NCBI and Uniprot Product Information
NCBI GI #
NCBI GeneID
NCBI Accession #
NCBI GenBank Nucleotide #
Molecular Weight
38,235 Da
NCBI Official Full Name
sorbitol dehydrogenase
NCBI Official Synonym Full Names
sorbitol dehydrogenase
NCBI Official Symbol
Sord
NCBI Protein Information
sorbitol dehydrogenase
UniProt Protein Name
Sorbitol dehydrogenase
UniProt Gene Name
Sord
UniProt Synonym Gene Names
Sdh1
Customer Reviews
Loading reviews...
Share Your Experience
Similar Products
Product Notes
The Rat SDH sord (Catalog #AAA218337) is a RTU ELISA Kit and is intended for research purposes only. The product is available for immediate purchase. The AAA218337 RTU ELISA Kit recognizes Rat SDH. It is sometimes possible for the material contained within the vial of "Sorbitol Dehydrogenase (SDH), RTU ELISA Kit" to become dispersed throughout the inside of the vial, particularly around the seal of said vial, during shipment and storage. We always suggest centrifuging these vials to consolidate all of the liquid away from the lid and to the bottom of the vial prior to opening. Please be advised that certain products may require dry ice for shipping and that, if this is the case, an additional dry ice fee may also be required.Precautions
All products in the AAA Biotech catalog are strictly for research-use only, and are absolutely not suitable for use in any sort of medical, therapeutic, prophylactic, in-vivo, or diagnostic capacity. By purchasing a product from AAA Biotech, you are explicitly certifying that said products will be properly tested and used in line with industry standard. AAA Biotech and its authorized distribution partners reserve the right to refuse to fulfill any order if we have any indication that a purchaser may be intending to use a product outside of our accepted criteria.Disclaimer
Though we do strive to guarantee the information represented in this datasheet, AAA Biotech cannot be held responsible for any oversights or imprecisions. AAA Biotech reserves the right to adjust any aspect of this datasheet at any time and without notice. It is the responsibility of the customer to inform AAA Biotech of any product performance issues observed or experienced within 30 days of receipt of said product. To see additional details on this or any of our other policies, please see our Terms & Conditions page.Item has been added to Shopping Cart
If you are ready to order, navigate to Shopping Cart and get ready to checkout.
