Mouse Uveal autoantigen with coiled-coil domains and ankyrin repeats ELISA Kit | Uaca elisa kit
Mouse Uveal autoantigen with coiled-coil domains and ankyrin repeats ELISA Kit
Gene Names
Uaca; nucling; 2700059D02Rik
Reactivity
Mouse
Synonyms
Uveal autoantigen with coiled-coil domains and ankyrin repeats; N/A; Mouse Uveal autoantigen with coiled-coil domains and ankyrin repeats ELISA Kit; Nuclear membrane-binding protein; Nucling; Uaca; Kiaa1561; Uaca elisa kit
Reactivity
Mouse
Sequence Length
1413
Assay Type
Competitive
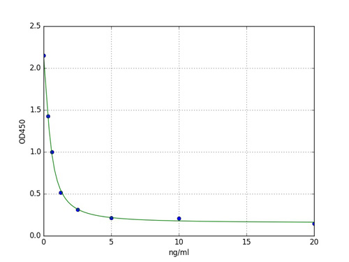
Detection Range
0.312-20 ng/mL
Sensitivity
0.18 ng/mL
Intra-Assay CV
<=4.5%
Inter-Assay CV
<=9.2%
Recovery
89%
Preparation and Storage
For long term storage, please store the entire kit at -20 degree C.
NCBI and Uniprot Product Information
NCBI GI #
NCBI GeneID
NCBI Accession #
NCBI GenBank Nucleotide #
Molecular Weight
160,927 Da
NCBI Official Full Name
uveal autoantigen with coiled-coil domains and ankyrin repeats
NCBI Official Synonym Full Names
uveal autoantigen with coiled-coil domains and ankyrin repeats
NCBI Official Symbol
Uaca
NCBI Official Synonym Symbols
nucling; 2700059D02Rik
NCBI Protein Information
uveal autoantigen with coiled-coil domains and ankyrin repeats
UniProt Protein Name
Uveal autoantigen with coiled-coil domains and ankyrin repeats
UniProt Gene Name
Uaca
UniProt Synonym Gene Names
Kiaa1561; Nucling
UniProt Entry Name
UACA_MOUSE
Customer Reviews
Loading reviews...
Share Your Experience
Similar Products
Product Notes
The Mouse Uaca uaca (Catalog #AAA192311) is an ELISA Kit and is intended for research purposes only. The product is available for immediate purchase. The AAA192311 ELISA Kit recognizes Mouse Uaca. It is sometimes possible for the material contained within the vial of "Uveal autoantigen with coiled-coil domains and ankyrin repeats, ELISA Kit" to become dispersed throughout the inside of the vial, particularly around the seal of said vial, during shipment and storage. We always suggest centrifuging these vials to consolidate all of the liquid away from the lid and to the bottom of the vial prior to opening. Please be advised that certain products may require dry ice for shipping and that, if this is the case, an additional dry ice fee may also be required.Precautions
All products in the AAA Biotech catalog are strictly for research-use only, and are absolutely not suitable for use in any sort of medical, therapeutic, prophylactic, in-vivo, or diagnostic capacity. By purchasing a product from AAA Biotech, you are explicitly certifying that said products will be properly tested and used in line with industry standard. AAA Biotech and its authorized distribution partners reserve the right to refuse to fulfill any order if we have any indication that a purchaser may be intending to use a product outside of our accepted criteria.Disclaimer
Though we do strive to guarantee the information represented in this datasheet, AAA Biotech cannot be held responsible for any oversights or imprecisions. AAA Biotech reserves the right to adjust any aspect of this datasheet at any time and without notice. It is the responsibility of the customer to inform AAA Biotech of any product performance issues observed or experienced within 30 days of receipt of said product. To see additional details on this or any of our other policies, please see our Terms & Conditions page.Item has been added to Shopping Cart
If you are ready to order, navigate to Shopping Cart and get ready to checkout.
