Tau active protein
Active Human Recombinant Tau (K18), P301L Mutant Protein Preformed Fibrils
Ion-Exchange Purified
Ion-Exchange Purified
SDS_PAGE
(SDS-PAGE of ~15 kDa Active Human Tau Protein K18 P301L Preformed Fibrils. Lane 1: MW Ladder. Lane 2: Tau Protein Preformed Fibrils.)
Application Data
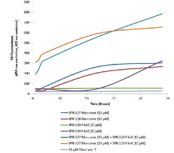
(Thioflavin T is a fluorescent dye that binds to beta sheet-rich structures, such as those in tau fibrils. Upon binding, the emission spectrum of the dye experiences a red-shift and increased fluorescence intensity. Thioflavin T emission curves show increased fluorescence (correlated to tau aggregation) over time in tau preformed fibrils. Tau preformed fibrils seed the formation of new tau fibrils when combined with tau monomers. Thioflavin T ex = 450 nm, em = 485 nm.)
Application Data
(TEM of recombinant Tau (K18), P301L mutant preformed fibrils (PFFs) at 30kx magnification. HV=80kV. Fibrils were sonicated and stained with uranyl acetate.)
Application Data
(TEM of recombinant Tau (K18), P301L mutant preformed fibrils (PFFs) at 150kx magnification. HV=80kV. Fibrils were sonicated and stained with uranyl acetate.)
NCBI and Uniprot Product Information
Customer Reviews
Loading reviews...
Share Your Experience
Similar Products
Product Notes
The Tau mapt (Catalog #AAA253968) is an Active Protein produced from E Coli and is intended for research purposes only. The product is available for immediate purchase. AAA Biotech's Tau can be used in a range of immunoassay formats including, but not limited to, Invitro Assay, SDS-PAGE, WB (Western Blot). Researchers should empirically determine the suitability of the Tau mapt for an application not listed in the data sheet. Researchers commonly develop new applications and it is an integral, important part of the investigative research process. The amino acid sequence is listed below: SRLQTAPVPM PDLKNVKSKI GSTENLKHQP GGGKVQIINK KLDLSNVQSK CGSKDNIKHV LGGGSVQIVY KPVDLSKVTS KCGSLGNIHH KPGGGQVEVK SEKLDFKDRV QSKIGSLDNI THVPGGGNKK IETHKLTFRE. It is sometimes possible for the material contained within the vial of "Tau, Active Protein" to become dispersed throughout the inside of the vial, particularly around the seal of said vial, during shipment and storage. We always suggest centrifuging these vials to consolidate all of the liquid away from the lid and to the bottom of the vial prior to opening. Please be advised that certain products may require dry ice for shipping and that, if this is the case, an additional dry ice fee may also be required.Precautions
All products in the AAA Biotech catalog are strictly for research-use only, and are absolutely not suitable for use in any sort of medical, therapeutic, prophylactic, in-vivo, or diagnostic capacity. By purchasing a product from AAA Biotech, you are explicitly certifying that said products will be properly tested and used in line with industry standard. AAA Biotech and its authorized distribution partners reserve the right to refuse to fulfill any order if we have any indication that a purchaser may be intending to use a product outside of our accepted criteria.Disclaimer
Though we do strive to guarantee the information represented in this datasheet, AAA Biotech cannot be held responsible for any oversights or imprecisions. AAA Biotech reserves the right to adjust any aspect of this datasheet at any time and without notice. It is the responsibility of the customer to inform AAA Biotech of any product performance issues observed or experienced within 30 days of receipt of said product. To see additional details on this or any of our other policies, please see our Terms & Conditions page.Item has been added to Shopping Cart
If you are ready to order, navigate to Shopping Cart and get ready to checkout.
