Reactivity
General
Specificity
This assay has high sensitivity and excellent specificity for detection of Coenzyme Q (CoQ). No significant cross-reactivity or interference between Coenzyme Q (CoQ) and analogues was observed.
Reactive with General species CoQ/Coenzyme Q
Reactive with General species CoQ/Coenzyme Q
Assay Type
Competitive Inhibition
Samples
Serum, Plasma and other biological fluids
Detection Range
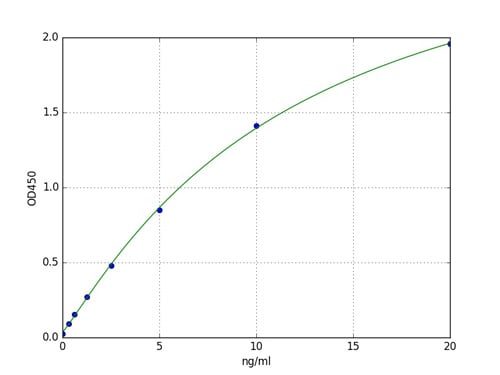
6.17-500ng/mL
Sensitivity
2.17ng/mL
Sample Size
50uL
Detection Method
Colormetric
Featured Series
CE kit
Precision
Intra-assay Precision (Precision within an assay): 3 samples with low, middle and high level Coenzyme Q (CoQ) were tested 20 times on one plate, respectively.
Inter-assay Precision (Precision between assays): 3 samples with low, middle and high level Coenzyme Q (CoQ) were tested on 3 different plates, 8 replicates in each plate.
CV(%) = SD/meanX100
Intra-Assay: CV<10%, Inter-Assay: CV<12%
Inter-assay Precision (Precision between assays): 3 samples with low, middle and high level Coenzyme Q (CoQ) were tested on 3 different plates, 8 replicates in each plate.
CV(%) = SD/meanX100
Intra-Assay: CV<10%, Inter-Assay: CV<12%
Function
Detects small molecule
Assay Procedure Summary
1. Prepare all reagents, samples and standards
2. Add 50ul standard or sample to each well. And then add 50ul prepared Detection Reagent A immediately. Shake and mix. Incubate 1 hour at 37 degree C
3. Aspirate and wash 3 times
4. Add 100ul prepared Detection Reagent B. Incubate 30 minutes at 37 degree C
5. Aspirate and wash 5 times
6. Add 90ul Substrate Solution. Incubate 10-20 minutes at 37 degree C
7. Add 50ul Stop Solution. Read at 450 nm immediately.
2. Add 50ul standard or sample to each well. And then add 50ul prepared Detection Reagent A immediately. Shake and mix. Incubate 1 hour at 37 degree C
3. Aspirate and wash 3 times
4. Add 100ul prepared Detection Reagent B. Incubate 30 minutes at 37 degree C
5. Aspirate and wash 5 times
6. Add 90ul Substrate Solution. Incubate 10-20 minutes at 37 degree C
7. Add 50ul Stop Solution. Read at 450 nm immediately.
Test Principle
This assay employs the competitive inhibition enzyme immunoassay technique. A monoclonal antibody specific to Coenzyme Q (CoQ) has been pre-coated onto a microplate. A competitive inhibition reaction is launched between biotin labeled Coenzyme Q (CoQ) and unlabeled Coenzyme Q (CoQ) (Standards or samples) with the pre-coated antibody specific to Coenzyme Q (CoQ). After incubation the unbound conjugate is washed off. Next, avidin conjugated to Horseradish Peroxidase (HRP) is added to each microplate well and incubated. The amount of bound HRP conjugate is reverse proportional to the concentration of Coenzyme Q (CoQ) in the sample. After addition of the substrate solution, the intensity of color developed is reverse proportional to the concentration of Coenzyme Q (CoQ) in the sample.
Preparation and Storage
Store at 4 degree C for 1 month/-20 degree C for long-term (One year within shelf life)
The stability of kit is determined by the loss rate of activity. The loss rate of this kit is less than 5% within the expiration date under appropriate storage condition. To minimize extra influence on the performance, operation procedures and lab conditions, especially room temperature, air humidity, incubator temperature should be strictly controlled. It is also strongly suggested that the whole assay is performed by the same operator from the beginning to the end.
The stability of kit is determined by the loss rate of activity. The loss rate of this kit is less than 5% within the expiration date under appropriate storage condition. To minimize extra influence on the performance, operation procedures and lab conditions, especially room temperature, air humidity, incubator temperature should be strictly controlled. It is also strongly suggested that the whole assay is performed by the same operator from the beginning to the end.
Customer Reviews
Loading reviews...
Share Your Experience
Similar Products
Product Notes
The General CoQ (Catalog #AAA190265) is an ELISA Kit and is intended for research purposes only. The product is available for immediate purchase. The AAA190265 ELISA Kit recognizes General CoQ. It is sometimes possible for the material contained within the vial of "Coenzyme Q (CoQ), ELISA Kit" to become dispersed throughout the inside of the vial, particularly around the seal of said vial, during shipment and storage. We always suggest centrifuging these vials to consolidate all of the liquid away from the lid and to the bottom of the vial prior to opening. Please be advised that certain products may require dry ice for shipping and that, if this is the case, an additional dry ice fee may also be required.Precautions
All products in the AAA Biotech catalog are strictly for research-use only, and are absolutely not suitable for use in any sort of medical, therapeutic, prophylactic, in-vivo, or diagnostic capacity. By purchasing a product from AAA Biotech, you are explicitly certifying that said products will be properly tested and used in line with industry standard. AAA Biotech and its authorized distribution partners reserve the right to refuse to fulfill any order if we have any indication that a purchaser may be intending to use a product outside of our accepted criteria.Disclaimer
Though we do strive to guarantee the information represented in this datasheet, AAA Biotech cannot be held responsible for any oversights or imprecisions. AAA Biotech reserves the right to adjust any aspect of this datasheet at any time and without notice. It is the responsibility of the customer to inform AAA Biotech of any product performance issues observed or experienced within 30 days of receipt of said product. To see additional details on this or any of our other policies, please see our Terms & Conditions page.Item has been added to Shopping Cart
If you are ready to order, navigate to Shopping Cart and get ready to checkout.
