Glycophorin-A/GYPA/CD235a Recombinant Protein | GYPA/CD235a recombinant protein
Recombinant Human Glycophorin-A/GYPA/CD235a protein
After reconstitution, the protein solution is stable at -20 degree C for 3 months, at 2-8 degree C for up to 1 week.
Application Data
(Recombinant Human Glycophorin-A/GYPA/CD235a protein was determined by SDS-PAGE with Coomassie Blue, showing a band at 45-65kDa.)
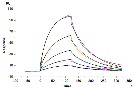
Application Data
(Anti-GPA Antibody immobilized on CM5 Chip can bind Human GPA, hFc Tag with an affinity constant of 0.72 uM as determined in SPR assay (Biacore T200).)
NCBI and Uniprot Product Information
Customer Reviews
Loading reviews...
Share Your Experience
Similar Products
Product Notes
The GYPA/CD235a gypa (Catalog #AAA283392) is a Recombinant Protein produced from HEK293 cells and is intended for research purposes only. The product is available for immediate purchase. The amino acid sequence is listed below: SSTTGVAMHT STSSSVTKSY ISSQTNDTHK RDTYAATPRA HEVSEISVRT VYPPEEETGE RVQLAHHFSE PE. It is sometimes possible for the material contained within the vial of "Glycophorin-A/GYPA/CD235a, Recombinant Protein" to become dispersed throughout the inside of the vial, particularly around the seal of said vial, during shipment and storage. We always suggest centrifuging these vials to consolidate all of the liquid away from the lid and to the bottom of the vial prior to opening. Please be advised that certain products may require dry ice for shipping and that, if this is the case, an additional dry ice fee may also be required.Precautions
All products in the AAA Biotech catalog are strictly for research-use only, and are absolutely not suitable for use in any sort of medical, therapeutic, prophylactic, in-vivo, or diagnostic capacity. By purchasing a product from AAA Biotech, you are explicitly certifying that said products will be properly tested and used in line with industry standard. AAA Biotech and its authorized distribution partners reserve the right to refuse to fulfill any order if we have any indication that a purchaser may be intending to use a product outside of our accepted criteria.Disclaimer
Though we do strive to guarantee the information represented in this datasheet, AAA Biotech cannot be held responsible for any oversights or imprecisions. AAA Biotech reserves the right to adjust any aspect of this datasheet at any time and without notice. It is the responsibility of the customer to inform AAA Biotech of any product performance issues observed or experienced within 30 days of receipt of said product. To see additional details on this or any of our other policies, please see our Terms & Conditions page.Item has been added to Shopping Cart
If you are ready to order, navigate to Shopping Cart and get ready to checkout.
