Rabbit Parkin Polyclonal Antibody | anti-PRKN antibody
Parkin Antibody
Phosphate buffered saline, pH 7.4, 150mM NaCl, 0.02% sodium azide and 50% glycerol.
WB (Western Blot)
(Western blot analysis on HeLa cell lysate using Parkin Antibody. The lane on the left is treated with the antigen-specific peptide.)
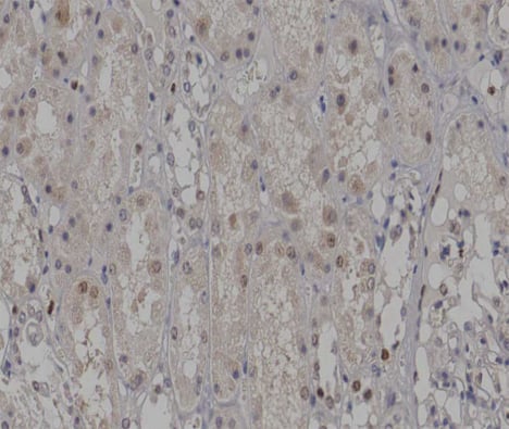
IHC (Immunohistochemistry)
(AAA320876 at 1/100 staining human kidney tissue sections by IHC-P. The tissue was formaldehyde fixed and a heat mediated antigen retrieval step in citrate buffer was performed. The tissue was then blocked and incubated with the antibody for 1.5 hours at 22 degree C. An HRP conjugated goat anti-rabbit antibody was used as the secondary.)
Function: Functions within a multiprotein E3 ubiquitin ligase complex, catalyzing the covalent attachment of ubiquitin moieties onto substrate proteins, such as BCL2, SYT11, CCNE1, GPR37, RHOT1/MIRO1, MFN1, MFN2, STUB1, SNCAIP, SEPT5, TOMM20, USP30, ZNF746 and AIMP2 (PubMed:10973942, PubMed:10888878, PubMed:11431533, PubMed:12150907, PubMed:12628165, PubMed:16135753, PubMed:21376232, PubMed:23754282, PubMed:23620051, PubMed:24660806, PubMed:24751536). Mediates monoubiquitination as well as 'Lys-6', 'Lys-11', 'Lys-48'-linked and 'Lys-63'-linked polyubiquitination of substrates depending on the context (PubMed:19229105, PubMed:20889974, PubMed:25621951). Participates in the removal and/or detoxification of abnormally folded or damaged protein by mediating 'Lys-63'-linked polyubiquitination of misfolded proteins such as PARK7: 'Lys-63'-linked polyubiquitinated misfolded proteins are then recognized by HDAC6, leading to their recruitment to aggresomes, followed by degradation (PubMed:17846173, PubMed:19229105). Mediates 'Lys-63'-linked polyubiquitination of a 22 kDa O-linked glycosylated isoform of SNCAIP, possibly playing a role in Lewy-body formation (PubMed:11590439, PubMed:11431533, PubMed:19229105, PubMed:11590439, PubMed:15728840). Mediates monoubiquitination of BCL2, thereby acting as a positive regulator of autophagy (PubMed:20889974). Promotes the autophagic degradation of dysfunctional depolarized mitochondria (mitophagy) by promoting the ubiquitination of mitochondrial proteins such as TOMM20, RHOT1/MIRO1 and USP30 (PubMed:19029340, PubMed:19966284, PubMed:23620051, PubMed:24896179, PubMed:25527291). Preferentially assembles 'Lys-6'-, 'Lys-11'-and 'Lys-63'-linked polyubiquitin chains following mitochondrial damage, leading to mitophagy (PubMed:25621951). Mediates 'Lys-48'-linked polyubiquitination of ZNF746, followed by degradation of ZNF746 by the proteasome; possibly playing a role in the regulation of neuron death (PubMed:21376232). Limits the production of reactive oxygen species (ROS). Regulates cyclin-E during neuronal apoptosis. In collaboration with CHPF isoform 2, may enhance cell viability and protect cells from oxidative stress (PubMed:22082830). Independently of its ubiquitin ligase activity, protects from apoptosis by the transcriptional repression of p53/TP53 (PubMed:19801972). May protect neurons against alpha synuclein toxicity, proteasomal dysfunction, GPR37 accumulation, and kainate-induced excitotoxicity (PubMed:11439185). May play a role in controlling neurotransmitter trafficking at the presynaptic terminal and in calcium-dependent exocytosis. May represent a tumor suppressor gene.
Subunit Structure: Forms an E3 ubiquitin ligase complex with UBE2L3 or UBE2L6. Mediates 'Lys-63'-linked polyubiquitination by associating with UBE2V1. Part of a SCF-like complex, consisting of PRKN, CUL1 and FBXW7. Interacts with SNCAIP. Binds to the C2A and C2B domains of SYT11. Interacts and regulates the turnover of SEPT5. Part of a complex, including STUB1, HSP70 and GPR37. The amount of STUB1 in the complex increases during ER stress. STUB1 promotes the dissociation of HSP70 from PRKN and GPR37, thus facilitating PRKN-mediated GPR37 ubiquitination. HSP70 transiently associates with unfolded GPR37 and inhibits the E3 activity of PRKN, whereas, STUB1 enhances the E3 activity of PRKN through promotion of dissociation of HSP70 from PRKN-GPR37 complexes. Interacts with PSMD4 and PACRG. Interacts with LRRK2. Interacts with RANBP2. Interacts with SUMO1 but not SUMO2, which promotes nuclear localization and autoubiquitination. Interacts (via first RING-type domain) with AIMP2 (via N-terminus). Interacts with PSMA7 and RNF41. Interacts with PINK1. Interacts with CHPF, the interaction with isoform 2 may facilitate PRKN transport into the mitochondria. Interacts with MFN2 (phosphorylated), promotes PRKN localization in dysfunctional depolarized mitochondria. Interacts with FBXO7; this promotes translocation to dysfunctional depolarized mitochondria. Interacts with heat shock protein 70 family members, including HSPA1L, HSPA1A and HSPA8; interaction HSPA1L promotes translocation to damaged mitochondria. Interacts with BAG4 and, to a lesser extent, BAG5; interaction with BAG4 inhibits translocation to damaged mitochondria. Forms a complex with PINK1 and PARK7 (PubMed:19229105).
Post-translational Modifications: Auto-ubiquitinates in an E2-dependent manner leading to its own degradation (PubMed:19229105). Also polyubiquitinated by RNF41 for proteasomal degradation. S-nitrosylated. The inhibition of PRKN ubiquitin E3 ligase activity by S-nitrosylation could contribute to the degenerative process in PD by impairing the ubiquitination of PRKN substrates. Phosphorylation at Ser-65 by PINK1 contributes to activate PRKN activity. It is however not sufficient and requires binding to phosphorylated ubiquitin as well.
Similarity: The ubiquitin-like domain binds the PSMD4 subunit of 26S proteasomes.The RING-type 1 zinc finger domain is required to repress p53/TP53 transcription.Members of the RBR family are atypical E3 ligases. They interact with the E2 conjugating enzyme UBE2L3 and function like HECT-type E3 enzymes: they bind E2s via the first RING domain, but require an obligate trans-thiolation step during the ubiquitin transfer, requiring a conserved cysteine residue in the second RING domain (PubMed:21532592). Belongs to the RBR family. Parkin subfamily.
NCBI and Uniprot Product Information
Predicted: 52 kDa
Customer Reviews
Loading reviews...
Share Your Experience
Similar Products
Product Notes
The PRKN prkn (Catalog #AAA320876) is an Antibody produced from Rabbit and is intended for research purposes only. The product is available for immediate purchase. The Parkin Antibody reacts with Human, Mouse, Rat and may cross-react with other species as described in the data sheet. AAA Biotech's Parkin can be used in a range of immunoassay formats including, but not limited to, ELISA, IHC (Immunohistochemistry), WB (Western Blot). Researchers should empirically determine the suitability of the PRKN prkn for an application not listed in the data sheet. Researchers commonly develop new applications and it is an integral, important part of the investigative research process. It is sometimes possible for the material contained within the vial of "Parkin, Polyclonal Antibody" to become dispersed throughout the inside of the vial, particularly around the seal of said vial, during shipment and storage. We always suggest centrifuging these vials to consolidate all of the liquid away from the lid and to the bottom of the vial prior to opening. Please be advised that certain products may require dry ice for shipping and that, if this is the case, an additional dry ice fee may also be required.Precautions
All products in the AAA Biotech catalog are strictly for research-use only, and are absolutely not suitable for use in any sort of medical, therapeutic, prophylactic, in-vivo, or diagnostic capacity. By purchasing a product from AAA Biotech, you are explicitly certifying that said products will be properly tested and used in line with industry standard. AAA Biotech and its authorized distribution partners reserve the right to refuse to fulfill any order if we have any indication that a purchaser may be intending to use a product outside of our accepted criteria.Disclaimer
Though we do strive to guarantee the information represented in this datasheet, AAA Biotech cannot be held responsible for any oversights or imprecisions. AAA Biotech reserves the right to adjust any aspect of this datasheet at any time and without notice. It is the responsibility of the customer to inform AAA Biotech of any product performance issues observed or experienced within 30 days of receipt of said product. To see additional details on this or any of our other policies, please see our Terms & Conditions page.Item has been added to Shopping Cart
If you are ready to order, navigate to Shopping Cart and get ready to checkout.
