Puromycin Sensitive Aminopeptidase Active Protein | PSA active protein
Active Puromycin Sensitive Aminopeptidase (PSA)
20mM Tris, 150mM NaCl, pH8.0, containing 1mM EDTA, 1mM DTT, 0.01% SKL, 5% Trehalose and Proclin300.
Stability: The thermal stability is described by the loss rate. The loss rate was determined by accelerated thermal degradation test, that is, incubate the protein at 37 degree C for 48h, and no obvious degradation and precipitation were observed. The loss rate is less than 5% within the expiration date under appropriate storage condition.
Bioactivity
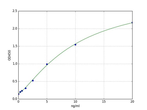
(Figure. The binding activity of PSA with PDIA3.Puromycin Sensitive Aminopeptidase (PSA) also known as cytosol alanyl aminopeptidase or alanine aminopeptidase (AAP) is used as a biomarker to detect damage to the kidneys, and that may be used to help idenfity certain kidney disorders. It is found at high levels in the urine when there are kidney problems. PSA has been proposed to function in a variety of processes, including metabolism of neuropeptidase, regulation of the cell cycle, and hydrolysis of proteasomal products to amino acids. Besides, Protein Disulfide Isomerase A3 (PDIA3) has been identified as an interactor of PSA, thus a binding ELISA assay was conducted to detect the interaction of recombinant human PSA and recombinant human PDIA3. Briefly, PSA were diluted serially in PBS, with 0.01% BSA (pH 7.4). Duplicate samples of 100uL were then transferred to PDIA3-coated microtiter wells and incubated for 2h at 37. Wells were washed with PBST and incubated for 1h with anti-PSA pAb, then aspirated and washed 3 times. After incubation with HRP labelled secondary antibody, wells were aspirated and washed 3 times. With the addition of substrate solution, wells were incubated 15-25 minutes at 37. Finally, add 50uL stop solution to the wells and read at 450nm immediately. The binding activity of PSA and PDIA3 was shown in Figure 1, and this effect was in a dose dependent manner.)
NCBI and Uniprot Product Information
Accurate Molecular Mass: 16kDa
Customer Reviews
Loading reviews...
Share Your Experience
Similar Products
Product Notes
The PSA npepps (Catalog #AAA150133) is an Active Protein and is intended for research purposes only. The product is available for immediate purchase. The immunogen sequence is Thr141~Val272. AAA Biotech's Puromycin Sensitive Aminopeptidase can be used in a range of immunoassay formats including, but not limited to, Activity Assay, Cell Culture. Researchers should empirically determine the suitability of the PSA npepps for an application not listed in the data sheet. Researchers commonly develop new applications and it is an integral, important part of the investigative research process. It is sometimes possible for the material contained within the vial of "Puromycin Sensitive Aminopeptidase, Active Protein" to become dispersed throughout the inside of the vial, particularly around the seal of said vial, during shipment and storage. We always suggest centrifuging these vials to consolidate all of the liquid away from the lid and to the bottom of the vial prior to opening. Please be advised that certain products may require dry ice for shipping and that, if this is the case, an additional dry ice fee may also be required.Precautions
All products in the AAA Biotech catalog are strictly for research-use only, and are absolutely not suitable for use in any sort of medical, therapeutic, prophylactic, in-vivo, or diagnostic capacity. By purchasing a product from AAA Biotech, you are explicitly certifying that said products will be properly tested and used in line with industry standard. AAA Biotech and its authorized distribution partners reserve the right to refuse to fulfill any order if we have any indication that a purchaser may be intending to use a product outside of our accepted criteria.Disclaimer
Though we do strive to guarantee the information represented in this datasheet, AAA Biotech cannot be held responsible for any oversights or imprecisions. AAA Biotech reserves the right to adjust any aspect of this datasheet at any time and without notice. It is the responsibility of the customer to inform AAA Biotech of any product performance issues observed or experienced within 30 days of receipt of said product. To see additional details on this or any of our other policies, please see our Terms & Conditions page.Item has been added to Shopping Cart
If you are ready to order, navigate to Shopping Cart and get ready to checkout.
