Reactivity
Rat
Specificity
Natural and recombinant Rat VEGF Ligand
Assay Type
Solid Phase Sandwich ELISA
Samples
Cell culture supernatant, serum, plasma (EDTA, citrate, heparin)
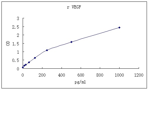
Detection Range
0.02-1.0 ng/mL
Sensitivity
4pg/mL
Assay Time
3 hour
Sample Volume
20 uL
Detection Method
Colorimetric
Preparation and Storage
Store at 4 degree C
Related Product Information for VEGF elisa kit
Vascular endothelial growth factor (VEGF or VEGF-A), also known as vascular permeability factor (VPF), is a potent mediator of both angiogenesis and vasculogenesis in the fetus and in adults (1-3). It is a member of the PDGF family that is characterized by the presence of eight conserved cysteine residues in a cystine knot structure and formation of anti-parallel disulfide-linked dimers (4). Alternately spliced isoforms of 120, 164, and 188 amino acids (aa) have been found in rats and mice, while 121, 145, 165, 183, 189, and 206 aa isoforms have been identified in humans (2, 4). In humans, VEGF165 appears to be the most abundant and potent isoform, followed by VEGF121 and VEGF189 (3, 4). The same pattern may exist in rats and mice. Isoforms other than VEGF120 and VEGF121 contain basic heparin-binding regions and are not freely diffusible (4). Rat VEGF164 shares 97% aa sequence identity with corresponding regions of mouse, 88% with human and bovine, 89% with porcine and canine, and 90% with feline and equine VEGF. VEGF is expressed in multiple cells and tissues including skeletal and cardiac muscle (5, 6), hepatocytes (7), osteoblasts (8), neutrophils (9), macrophages (10), keratinocytes (11), brown adipose tissue (12), CD34+ stem cells (13), endothelial cells (14), fibroblasts, and vascular smooth muscle cells (15). VEGF expression is induced by hypoxia and cytokines such as IL-1, IL-6, IL-8, Oncostatin M, and TNF-a (3, 4, 9). The isoforms are differentially expressed during development and in the adult (3).VEGF dimers bind to two related receptor tyrosine kinases, VEGF R1 (also called Flt-1) and VEGF R2 (Flk-1/KDR) and induce their homodimerization and autophosphorylation (3, 4, 7, 17, 18). These receptors have seven extracellular immunoglobulin-like domains and an intracellular split tyrosine kinase domain. They are expressed on vascular endothelial cells and a range of non-endothelial cells. Although VEGF affinity is highest for binding to VEGF R1, VEGF R2 appears to be the primary mediator of VEGF angiogenic activity (3, 4). VEGF165 also binds the semaphorin receptor, neuropilin-1, which promotes complex formation with VEGF R2 (19).VEGF is best known for its role in vasculogenesis. During embryogenesis, VEGF regulates the proliferation, migration, and survival of endothelial cells (3, 4), thus regulating blood vessel density and size but playing no role in determining vascular patterns. VEGF promotes bone formation through osteoblast and chondroblast recruitment and is also a monocyte chemoattractant (20-22). In postnatal life, VEGF maintains endothelial cell integrity and is a potent mitogen for micro- and macro-vascular endothelial cells. In adults, VEGF functions mainly in wound healing and the female reproductive cycle (3). In diseased tissues, VEGF promotes vascular permeability. It is thus thought to contribute to tumor metastasis by promoting both extravasation and tumor angiogenesis (23, 24). Various strategies have been employed therapeutically to antagonize VEGF-mediated tumor angiogenesis (25). Circulating VEGF levels correlate with disease activity in autoimmune diseases such as rheumatoid arthritis, multiple sclerosis and systemic lupus erythematosus (26).
NCBI and Uniprot Product Information
NCBI GI #
NCBI GeneID
Molecular Weight
22,368 Da
NCBI Official Full Name
VEGF, partial
NCBI Official Symbol
VEGFA
NCBI Official Synonym Symbols
VEGF
NCBI Protein Information
vascular endothelial growth factor A
UniProt Protein Name
Vascular endothelial growth factor A
UniProt Gene Name
VEGFA
UniProt Synonym Gene Names
VEGF; VEGF-A; VPF
Customer Reviews
Loading reviews...
Share Your Experience
Similar Products
Product Notes
The Rat VEGF vegfa (Catalog #AAA309918) is an ELISA Kit and is intended for research purposes only. The product is available for immediate purchase. The AAA309918 ELISA Kit recognizes Rat VEGF. It is sometimes possible for the material contained within the vial of "VEGF, ELISA Kit" to become dispersed throughout the inside of the vial, particularly around the seal of said vial, during shipment and storage. We always suggest centrifuging these vials to consolidate all of the liquid away from the lid and to the bottom of the vial prior to opening. Please be advised that certain products may require dry ice for shipping and that, if this is the case, an additional dry ice fee may also be required.Precautions
All products in the AAA Biotech catalog are strictly for research-use only, and are absolutely not suitable for use in any sort of medical, therapeutic, prophylactic, in-vivo, or diagnostic capacity. By purchasing a product from AAA Biotech, you are explicitly certifying that said products will be properly tested and used in line with industry standard. AAA Biotech and its authorized distribution partners reserve the right to refuse to fulfill any order if we have any indication that a purchaser may be intending to use a product outside of our accepted criteria.Disclaimer
Though we do strive to guarantee the information represented in this datasheet, AAA Biotech cannot be held responsible for any oversights or imprecisions. AAA Biotech reserves the right to adjust any aspect of this datasheet at any time and without notice. It is the responsibility of the customer to inform AAA Biotech of any product performance issues observed or experienced within 30 days of receipt of said product. To see additional details on this or any of our other policies, please see our Terms & Conditions page.Item has been added to Shopping Cart
If you are ready to order, navigate to Shopping Cart and get ready to checkout.
