Mouse Thyrotropin subunit beta ELISA Kit | Tshbeta elisa kit
Mouse Thyrotropin subunit beta ELISA Kit
Gene Names
TSHB; TSH-B; TSH-BETA
Reactivity
Mouse
Synonyms
Thyrotropin subunit beta; N/A; Mouse Thyrotropin subunit beta ELISA Kit; Tshb/TSHB (Thyrotropin subunit beta)/Thyrotropin beta/thyroid stimulating hormone; beta/thyroid-stimulating hormone subunit beta/thyrotropin beta chain/thyrotropin beta subunit/TSH-B/TSH-BETA; Tshbeta elisa kit
Reactivity
Mouse
Sequence Length
138
Assay Type
Competitive ELISA, Coated with Antigen
Samples
Serum, Plasma, Cell Culture Supernatant, cell or tissue lysate, Other liquid samples
Detection Range
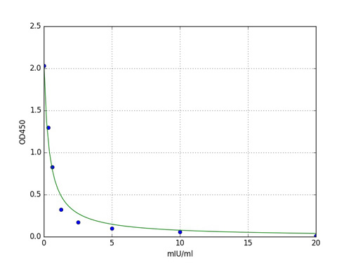
0.156-10uIU/ml
Sensitivity
0.094uIU/ml
Preparation and Storage
Store entire kit at 2-8C for short-term. For longer-term, please store the microplate & standard at -20C, while the remaining reagents can be stored at 2-8C
NCBI and Uniprot Product Information
NCBI GI #
NCBI GeneID
NCBI Accession #
NCBI GenBank Nucleotide #
Molecular Weight
10,624 Da
NCBI Official Full Name
thyrotropin subunit beta isoform 1
NCBI Official Synonym Full Names
thyroid stimulating hormone beta
NCBI Official Symbol
TSHB
NCBI Official Synonym Symbols
TSH-B; TSH-BETA
NCBI Protein Information
thyrotropin subunit beta
UniProt Protein Name
Thyrotropin subunit beta
UniProt Gene Name
TSHB
UniProt Synonym Gene Names
TSH-B; TSH-beta
UniProt Entry Name
TSHB_HUMAN
Customer Reviews
Loading reviews...
Share Your Experience
Similar Products
Product Notes
The Mouse Tshbeta tshb (Catalog #AAA97706) is an ELISA Kit and is intended for research purposes only. The product is available for immediate purchase. The AAA97706 ELISA Kit recognizes Mouse Tshbeta. It is sometimes possible for the material contained within the vial of "Thyrotropin subunit beta, ELISA Kit" to become dispersed throughout the inside of the vial, particularly around the seal of said vial, during shipment and storage. We always suggest centrifuging these vials to consolidate all of the liquid away from the lid and to the bottom of the vial prior to opening. Please be advised that certain products may require dry ice for shipping and that, if this is the case, an additional dry ice fee may also be required.Precautions
All products in the AAA Biotech catalog are strictly for research-use only, and are absolutely not suitable for use in any sort of medical, therapeutic, prophylactic, in-vivo, or diagnostic capacity. By purchasing a product from AAA Biotech, you are explicitly certifying that said products will be properly tested and used in line with industry standard. AAA Biotech and its authorized distribution partners reserve the right to refuse to fulfill any order if we have any indication that a purchaser may be intending to use a product outside of our accepted criteria.Disclaimer
Though we do strive to guarantee the information represented in this datasheet, AAA Biotech cannot be held responsible for any oversights or imprecisions. AAA Biotech reserves the right to adjust any aspect of this datasheet at any time and without notice. It is the responsibility of the customer to inform AAA Biotech of any product performance issues observed or experienced within 30 days of receipt of said product. To see additional details on this or any of our other policies, please see our Terms & Conditions page.Item has been added to Shopping Cart
If you are ready to order, navigate to Shopping Cart and get ready to checkout.
