Mouse Complement C5a ELISA Kit | C5 elisa kit
Mouse Complement C5a PicoKine ELISA Kit
Gene Names
Hc; C5; He; C5a
Reactivity
Mouse
Synonyms
Complement C5a; N/A; Mouse Complement C5a PicoKine ELISA Kit; Complement C5; complement component 5; anaphylatoxin C5a analog; C3 and PZP-like alpha-2-macroglobulin domain-containing protein 4; C5; CO5_HUMAN; complement C5; Complement C5 alpha chain; Complement component 5; CPAMD4; C5 elisa kit
Reactivity
Mouse
Specificity
Natural and recombinant Mouse Bmp10
Sequence Length
1680
Samples
Cell Culture Supernates, Serum And Plasma (Heparin, Edta, Citrate)
Detection Range
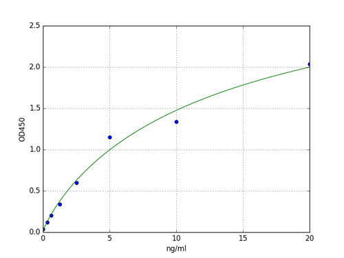
15.6pg/ml-1000pg/ml
Sensitivity
<10pg/ml
Intra-assay Precision
Intra-Assay Precision (Precision within an assay): Three samples of known concentration were tested on one plate to assess intra-assay precision
Inter-assay Precision
Inter-Assay Precision (Precision accross assays):Three samples of known concentration were tested in separate assays to assess inter-assay precision.
Preparation and Storage
Store at 4 degree C for 6 months, at -20 degree C for 12 months. Avoid multiple freeze-thaw cycles (Shipped with wet ice.)
Related Product Information for C5 elisa kit
Principle of the Assay: The Picokine Mouse Bmp10 Pre-Coated ELISA (Enzyme-Linked Immunosorbent Assay) kit is a solid phase immunoassay specially designed to measure Mouse Bmp10 with a 96-well strip plate that is pre-coated with antibody specific for Bmp10. The detection antibody is a biotinylated antibody specific for Bmp10. The capture antibody is A monoclonal antibody from rat, the detection antibody is a biotinylated detection polyclonal antibody from goat. The kit contains recombinant Mouse Bmp10 with immunogen: Expression system for standard: NSO, Immunogen sequence: N314-R421. The kit is analytically validated with ready to use reagents. To measure Mouse Bmp10, add standards and samples to the wells, then add the biotinylated detection antibody. Wash the wells with PBS or TBS buffer, and add Avidin-Biotin-Peroxidase Complex (ABC-HRP). Wash away the unbounded ABC-HRP with PBS or TBS buffer and add TMB. TMB is substrate to HRP and will be catalyzed to produce a blue color product, which changes into yellow after adding acidic stop solution. The density of the yellow product is linearly propotional to Mouse Bmp10 in the sample. Read the density of the yellow product in each well using a plate reader, and benchmark the sample wells' readings against the standard curve to determine the concentration of Mouse Bmp10 in the sample.
NCBI and Uniprot Product Information
NCBI GI #
NCBI GeneID
Molecular Weight
188,878 Da
NCBI Official Full Name
Complement C5
NCBI Official Synonym Full Names
hemolytic complement
NCBI Official Symbol
Hc
NCBI Official Synonym Symbols
C5; He; C5a
NCBI Protein Information
complement C5
UniProt Protein Name
Complement C5
UniProt Gene Name
C5
UniProt Synonym Gene Names
Hc
UniProt Entry Name
CO5_MOUSE
Customer Reviews
Loading reviews...
Share Your Experience
Similar Products
Product Notes
The Mouse C5 c5 (Catalog #AAA45983) is an ELISA Kit and is intended for research purposes only. The product is available for immediate purchase. The AAA45983 ELISA Kit recognizes Mouse C5. It is sometimes possible for the material contained within the vial of "Complement C5a, ELISA Kit" to become dispersed throughout the inside of the vial, particularly around the seal of said vial, during shipment and storage. We always suggest centrifuging these vials to consolidate all of the liquid away from the lid and to the bottom of the vial prior to opening. Please be advised that certain products may require dry ice for shipping and that, if this is the case, an additional dry ice fee may also be required.Precautions
All products in the AAA Biotech catalog are strictly for research-use only, and are absolutely not suitable for use in any sort of medical, therapeutic, prophylactic, in-vivo, or diagnostic capacity. By purchasing a product from AAA Biotech, you are explicitly certifying that said products will be properly tested and used in line with industry standard. AAA Biotech and its authorized distribution partners reserve the right to refuse to fulfill any order if we have any indication that a purchaser may be intending to use a product outside of our accepted criteria.Disclaimer
Though we do strive to guarantee the information represented in this datasheet, AAA Biotech cannot be held responsible for any oversights or imprecisions. AAA Biotech reserves the right to adjust any aspect of this datasheet at any time and without notice. It is the responsibility of the customer to inform AAA Biotech of any product performance issues observed or experienced within 30 days of receipt of said product. To see additional details on this or any of our other policies, please see our Terms & Conditions page.Item has been added to Shopping Cart
If you are ready to order, navigate to Shopping Cart and get ready to checkout.
