Human TRIM33 (tripartite motif-containing 33) ELISA Kit | TRIM33 elisa kit
Human TRIM33 (tripartite motif-containing 33) QuickTest ELISA Kit
Gene Names
TRIM33; ECTO; PTC7; RFG7; TF1G; TIF1G; TIFGAMMA; TIF1GAMMA
Reactivity
Human
Synonyms
TRIM33 (tripartite motif-containing 33); N/A; Human TRIM33 (tripartite motif-containing 33) QuickTest ELISA Kit; E3 ubiquitin-protein ligase TRIM33; Ectodermin homolog; RET-fused gene 7 protein; Protein Rfg7; RING-type E3 ubiquitin transferase TRIM33; Transcription intermediary factor 1-gamma; TIF1-gamma; Tripartite motif-containing protein 33; TRIM33; KIAA1113; RFG7; TIF1G; TRIM33 elisa kit
Reactivity
Human
Assay Type
Sandwich ELISA, Double Antibody
Samples
Serum, plasma, cell culture supernatant, cell lysate or tissue lysate, other biological fluid samples
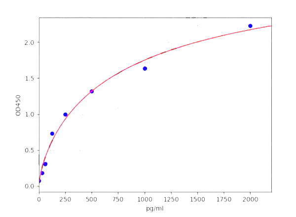
Detection Range
31.25-2000pg/ml
Sensitivity
18.75pg/ml
Time
120 minutes
Preparation and Storage
Store at 2-8 degree C for 12 months
NCBI and Uniprot Product Information
NCBI GI #
NCBI GeneID
NCBI Accession #
NCBI GenBank Nucleotide #
Molecular Weight
120,541 Da
NCBI Official Full Name
E3 ubiquitin-protein ligase TRIM33 isoform alpha
NCBI Official Synonym Full Names
tripartite motif containing 33
NCBI Official Symbol
TRIM33
NCBI Official Synonym Symbols
ECTO; PTC7; RFG7; TF1G; TIF1G; TIFGAMMA; TIF1GAMMA
NCBI Protein Information
E3 ubiquitin-protein ligase TRIM33; RET-fused gene 7 protein; TIF1-gamma; ectodermin homolog; protein Rfg7; transcriptional intermediary factor 1 gamma; tripartite motif-containing 33
UniProt Protein Name
E3 ubiquitin-protein ligase TRIM33
UniProt Gene Name
TRIM33
UniProt Synonym Gene Names
KIAA1113; RFG7; TIF1G; Protein Rfg7; TIF1-gamma
UniProt Entry Name
TRI33_HUMAN
Customer Reviews
Loading reviews...
Share Your Experience
Similar Products
Product Notes
The Human TRIM33 trim33 (Catalog #AAA252512) is an ELISA Kit and is intended for research purposes only. The product is available for immediate purchase. The AAA252512 ELISA Kit recognizes Human TRIM33. It is sometimes possible for the material contained within the vial of "TRIM33 (tripartite motif-containing 33), ELISA Kit" to become dispersed throughout the inside of the vial, particularly around the seal of said vial, during shipment and storage. We always suggest centrifuging these vials to consolidate all of the liquid away from the lid and to the bottom of the vial prior to opening. Please be advised that certain products may require dry ice for shipping and that, if this is the case, an additional dry ice fee may also be required.Precautions
All products in the AAA Biotech catalog are strictly for research-use only, and are absolutely not suitable for use in any sort of medical, therapeutic, prophylactic, in-vivo, or diagnostic capacity. By purchasing a product from AAA Biotech, you are explicitly certifying that said products will be properly tested and used in line with industry standard. AAA Biotech and its authorized distribution partners reserve the right to refuse to fulfill any order if we have any indication that a purchaser may be intending to use a product outside of our accepted criteria.Disclaimer
Though we do strive to guarantee the information represented in this datasheet, AAA Biotech cannot be held responsible for any oversights or imprecisions. AAA Biotech reserves the right to adjust any aspect of this datasheet at any time and without notice. It is the responsibility of the customer to inform AAA Biotech of any product performance issues observed or experienced within 30 days of receipt of said product. To see additional details on this or any of our other policies, please see our Terms & Conditions page.Item has been added to Shopping Cart
If you are ready to order, navigate to Shopping Cart and get ready to checkout.
