Human Trna (Guanine-N(7)-)-Methyltransferase, METTL1 ELISA Kit | METTL1 elisa kit
Human Trna (Guanine-N(7)-)-Methyltransferase, METTL1 Primacu ELISA Kit
Gene Names
METTL1; TRM8; TRMT8; C12orf1; YDL201w
Reactivity
Human
Synonyms
Trna (Guanine-N(7)-)-Methyltransferase, METTL1; N/A; Human Trna (Guanine-N(7)-)-Methyltransferase, METTL1 Primacu ELISA Kit; tRNA (guanine-N(7)-)-methyltransferase; METTL1; C12orf1; METTL1 elisa kit
Reactivity
Human
Assay Type
Sandwich
Samples
Serum, plasma, cell culture supernates
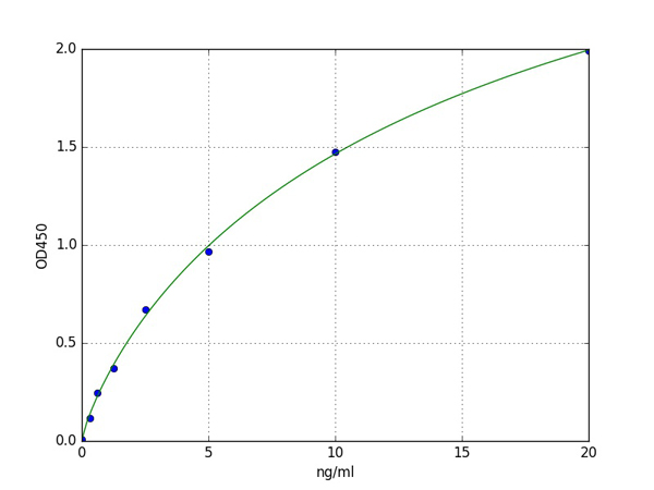
Detection Range
156.25-10000pg/mL
Sensitivity
52.43pg/mL
Standard Solution
100ng/mL
Assay Time
3.5h
Preparation and Storage
Store at 2-8 degree C
Related Product Information for METTL1 elisa kit
tRNA (guanine-N(7)-)-methyltransferase, also known as Methyltransferase-like protein 1, tRNA (m7G46)-methyltransferase and METTL1, is a nucleus protein that belongs to the methyltransferase superfamily and TrmB family. METTL1 gene has been identified by its sequence similarity to the yeast ORF YDL21w. The human cDNA and the genomic structure of METTL1 have been analyzed. The transcript contains 1292 nucleotides and codes for a protein of 276 amino acids. The METTL1 gene product shows high sequence similarities to putative proteins from mouse, Drosophila melanogaster, Arabidopsis thaliana, Caenorhabditis elegans, and yeast (39.8% identity between all six species). Computer analyses of the deduced protein sequence reveal two highly conserved amino acid motifs, one of which is typical for methyltransferases. Both motifs are also present in hypothetical proteins from eubacteria. Disruption of the homologous yeast ORF YDL21w shows that the gene is at least not essential for vegetative growth in Saccharomyces cerevisiae.
Product Categories/Family for METTL1 elisa kit
NCBI and Uniprot Product Information
NCBI GI #
NCBI GeneID
NCBI Accession #
NCBI GenBank Nucleotide #
Molecular Weight
17,423 Da
NCBI Official Full Name
tRNA (guanine-N(7)-)-methyltransferase isoform a
NCBI Official Synonym Full Names
methyltransferase like 1
NCBI Official Symbol
METTL1
NCBI Official Synonym Symbols
TRM8; TRMT8; C12orf1; YDL201w
NCBI Protein Information
tRNA (guanine-N(7)-)-methyltransferase; tRNA (guanine-N(7)-)-methyltransferase; D1075-like gene product; METTL1; methyltransferase-like 1; methyltransferase-like protein 1; tRNA (guanine(46)-N(7))-methyltransferase; tRNA(m7G46)-methyltransferase
UniProt Protein Name
tRNA (guanine-N(7)-)-methyltransferase
UniProt Gene Name
METTL1
UniProt Entry Name
TRMB_HUMAN
Customer Reviews
Loading reviews...
Share Your Experience
Similar Products
Product Notes
The Human METTL1 mettl1 (Catalog #AAA124105) is an ELISA Kit and is intended for research purposes only. The product is available for immediate purchase. The AAA124105 ELISA Kit recognizes Human METTL1. It is sometimes possible for the material contained within the vial of "Trna (Guanine-N(7)-)-Methyltransferase, METTL1, ELISA Kit" to become dispersed throughout the inside of the vial, particularly around the seal of said vial, during shipment and storage. We always suggest centrifuging these vials to consolidate all of the liquid away from the lid and to the bottom of the vial prior to opening. Please be advised that certain products may require dry ice for shipping and that, if this is the case, an additional dry ice fee may also be required.Precautions
All products in the AAA Biotech catalog are strictly for research-use only, and are absolutely not suitable for use in any sort of medical, therapeutic, prophylactic, in-vivo, or diagnostic capacity. By purchasing a product from AAA Biotech, you are explicitly certifying that said products will be properly tested and used in line with industry standard. AAA Biotech and its authorized distribution partners reserve the right to refuse to fulfill any order if we have any indication that a purchaser may be intending to use a product outside of our accepted criteria.Disclaimer
Though we do strive to guarantee the information represented in this datasheet, AAA Biotech cannot be held responsible for any oversights or imprecisions. AAA Biotech reserves the right to adjust any aspect of this datasheet at any time and without notice. It is the responsibility of the customer to inform AAA Biotech of any product performance issues observed or experienced within 30 days of receipt of said product. To see additional details on this or any of our other policies, please see our Terms & Conditions page.Item has been added to Shopping Cart
If you are ready to order, navigate to Shopping Cart and get ready to checkout.
