Loading...

Skip to main content
Call us at +1-800-604-9114 for more information about our products or contact us online Need help? +1-800-604-9114 or contact us

Filters


Clonality

Type

Reactivity

Gene Name

Isotype

Host

Application

Clone

Recombinant Proteins

Recombinant proteins are purified laboratory reagents created through genetic engineering for advanced biomedical research, such as immunology, neuroscience, cancer research, and more.


We provide high-quality recombinant proteins. Our various protein products are carefully tested for consistent and reliable performance. With our proteins, we offer stringent quality control, lot-to-lot consistency, and precise specificity to help you achieve accurate results in your research.


Viewing 900-950 of 14161 product results


E Coli Or Yeast Or Baculovirus Or Mammalian Cell PTPRZ1 Recombinant Protein – Cat# AAA113140 – SDS-PAGE SDS-PAGE

Receptor-type tyrosine-protein phosphatase zeta, Recombinant Protein (Cat# AAA113140)

No reviews yet
Full Name
Recombinant Human Receptor-type tyrosine-protein phosphatase zeta
Gene Names
PTPRZ1; PTPZ; HPTPZ; PTP18; PTPRZ; RPTPB; HPTPzeta; PTP-ZETA; RPTPbeta; phosphacan; R-PTP-zeta-2
Purity
Greater or equal to 85% purity as determined by SDS-PAGE.
Pricing
E Coli Or Yeast Or Baculovirus Or Mammalian Cell HOXB4 Recombinant Protein – Cat# AAA113143 – SDS-PAGE SDS-PAGE

Homeobox protein Hox-B4 (HOXB4), Recombinant Protein (Cat# AAA113143)

No reviews yet
Full Name
Recombinant Human Homeobox protein Hox-B4 (HOXB4)
Gene Names
HOXB4; HOX2; HOX2F; HOX-2.6
Purity
Greater or equal to 85% purity as determined by SDS-PAGE.
Pricing

Pulmonary surfactant-associated protein C (Sftpc), Recombinant Protein (Cat# AAA113151)

No reviews yet
Full Name
Recombinant Mouse Pulmonary surfactant-associated protein C (Sftpc)
Gene Names
Sftpc; SP5; SPC; SP-C; Sftp2; Bricd6; Sftp-2; pro-SpC
Purity
Greater or equal to 85% purity as determined by SDS-PAGE.
Pricing

Huntingtin (Htt), Recombinant Protein (Cat# AAA113158)

No reviews yet
Full Name
Recombinant Rat Huntingtin (Htt) , partial
Gene Names
Htt; Hd; Hdh
Purity
Greater or equal to 85% purity as determined by SDS-PAGE.
Pricing
E Coli Or Yeast Or Baculovirus Or Mammalian Cell Klk7 Recombinant Protein – Cat# AAA113163 – SDS-PAGE SDS-PAGE

Glandular kallikrein-7, Recombinant Protein (Cat# AAA113163)

No reviews yet
Full Name
Recombinant Rat Glandular kallikrein-7, submandibular/renal
Purity
Greater or equal to 85% purity as determined by SDS-PAGE.
Pricing

Glial fibrillary acidic protein (Gfap), Recombinant Protein (Cat# AAA113164)

No reviews yet
Full Name
Recombinant Rat Glial fibrillary acidic protein (Gfap)
Purity
Greater or equal to 85% purity as determined by SDS-PAGE.
Pricing

Secretogranin-3 (Scg3), Recombinant Protein (Cat# AAA113169)

No reviews yet
Full Name
Recombinant Rat Secretogranin-3 (Scg3)
Gene Names
Scg3; SgIII
Purity
Greater or equal to 85% purity as determined by SDS-PAGE.
Pricing

Agouti-signaling protein (ASIP), Recombinant Protein (Cat# AAA113172)

No reviews yet
Full Name
Recombinant Human Agouti-signaling protein (ASIP)
Gene Names
ASIP; ASP; AGSW; AGTI; AGTIL; SHEP9
Purity
Greater or equal to 85% purity as determined by SDS-PAGE.
Pricing
E Coli Or Yeast Or Baculovirus Or Mammalian Cell UOX Recombinant Protein – Cat# AAA114091 – SDS-PAGE SDS-PAGE

Uricase (UOX), Recombinant Protein (Cat# AAA114091)

No reviews yet
Full Name
Recombinant Pig Uricase (UOX)
Purity
Greater or equal to 85% purity as determined by SDS-PAGE.
Pricing

Cyclic AMP-dependent transcription factor ATF-6 alpha (ATF6), Recombinant Protein (Cat# AAA114096)

No reviews yet
Full Name
Recombinant Human Cyclic AMP-dependent transcription factor ATF-6 alpha (ATF6)
Gene Names
ATF6; ATF6A
Purity
Greater or equal to 85% purity as determined by SDS-PAGE.
Pricing
E Coli Or Yeast Or Baculovirus Or Mammalian Cell Ybx1 Recombinant Protein – Cat# AAA114097 – SDS-PAGE SDS-PAGE

Nuclease-sensitive element-binding protein 1 (Ybx1), Recombinant Protein (Cat# AAA114097)

No reviews yet
Full Name
Recombinant Mouse Nuclease-sensitive element-binding protein 1 (Ybx1)
Gene Names
Ybx1; EF1A; MSY1; YB-1; dbpB; Nsep1; C79409; mYB-1a; 1700102N10Rik
Purity
Greater or equal to 85% purity as determined by SDS-PAGE.
Pricing
E Coli Or Yeast Or Baculovirus Or Mammalian Cell F3 Recombinant Protein – Cat# AAA114099 – SDS-PAGE SDS-PAGE

Tissue factor, Recombinant Protein (Cat# AAA114099)

No reviews yet
Full Name
Recombinant Human Tissue factor
Gene Names
F3; TF; TFA; CD142
Purity
Greater or equal to 85% purity as determined by SDS-PAGE.
Pricing
E Coli Or Yeast Or Baculovirus Or Mammalian Cell KRT85 Recombinant Protein – Cat# AAA114103 – SDS-PAGE SDS-PAGE

Keratin, type II cuticular Hb5 (KRT85), Recombinant Protein (Cat# AAA114103)

No reviews yet
Full Name
Recombinant Human Keratin, type II cuticular Hb5 (KRT85)
Gene Names
KRT85; HB5; K85; Hb-5; hHb5; ECTD4; KRTHB5
Purity
Greater or equal to 85% purity as determined by SDS-PAGE.
Pricing
E Coli Or Yeast Or Baculovirus Or Mammalian Cell Ctsk Recombinant Protein – Cat# AAA114105 – SDS-PAGE SDS-PAGE

Cathepsin K, Recombinant Protein (Cat# AAA114105)

No reviews yet
Full Name
Recombinant Mouse Cathepsin K
Gene Names
Ctsk; catK; Ms10q; MMS10-Q; AI323530
Purity
Greater or equal to 85% purity as determined by SDS-PAGE.
Pricing
E Coli Or Yeast Or Baculovirus Or Mammalian Cell Abcb4 Recombinant Protein – Cat# AAA114109 – SDS-PAGE SDS-PAGE

Multidrug resistance protein 3, Recombinant Protein (Cat# AAA114109)

No reviews yet
Full Name
Recombinant Mouse Multidrug resistance protein 3
Gene Names
Abcb4; Mdr2; Pgy2; Pgy-2; mdr-2
Purity
Greater or equal to 85% purity as determined by SDS-PAGE.
Pricing
E Coli Or Yeast Or Baculovirus Or Mammalian Cell ANXA5 Recombinant Protein – Cat# AAA114111 – SDS-PAGE SDS-PAGE

Annexin A5 (ANXA5), Recombinant Protein (Cat# AAA114111)

No reviews yet
Full Name
Recombinant Human Annexin A5 (ANXA5)
Gene Names
ANXA5; PP4; ANX5; ENX2; RPRGL3; HEL-S-7
Purity
Greater or equal to 85% purity as determined by SDS-PAGE.
Pricing
E Coli NCAM1 Recombinant Protein – Cat# AAA114121 – SDS-PAGE SDS-PAGE

Neural cell adhesion molecule 1, Recombinant Protein (Cat# AAA114121)

No reviews yet
Full Name
Recombinant Human Neural cell adhesion molecule 1
Purity
Greater or equal to 85% purity as determined by SDS-PAGE.

Rod outer segment membrane protein 1 (ROM1), Recombinant Protein (Cat# AAA114128)

No reviews yet
Full Name
Recombinant Bovine Rod outer segment membrane protein 1 (ROM1)
Purity
Greater or equal to 85% purity as determined by SDS-PAGE.
Pricing
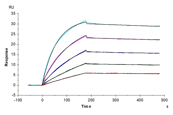
E Coli Or Yeast Or Baculovirus Or Mammalian Cell CYP11B1 Recombinant Protein – Cat# AAA114129 – Application Data Application Data

Cytochrome P450 11B1, mitochondrial (CYP11B1), Recombinant Protein (Cat# AAA114129)

No reviews yet
Full Name
Recombinant Human Cytochrome P450 11B1, mitochondrial (CYP11B1)
Purity
Greater or equal to 85% purity as determined by SDS-PAGE.
Pricing
E Coli Or Yeast Or Baculovirus Or Mammalian Cell IFNAR1 Recombinant Protein – Cat# AAA114145 – SDS-PAGE SDS-PAGE

Interferon alpha/beta receptor 1, Recombinant Protein (Cat# AAA114145)

No reviews yet
Full Name
Recombinant Human Interferon alpha/beta receptor 1
Gene Names
IFNAR1; AVP; IFRC; IFNAR; IFNBR; IFN-alpha-REC
Purity
Greater or equal to 85% purity as determined by SDS-PAGE.
E Coli Or Yeast Or Baculovirus Or Mammalian Cell AFP Recombinant Protein – Cat# AAA114152 – SDS-PAGE SDS-PAGE

Alpha-fetoprotein (AFP), Recombinant Protein (Cat# AAA114152)

No reviews yet
Full Name
Recombinant Human Alpha-fetoprotein (AFP)
Gene Names
AFP; FETA; HPAFP
Purity
Greater or equal to 85% purity as determined by SDS-PAGE.
Pricing
E Coli Or Yeast Or Baculovirus Or Mammalian Cell EPO Recombinant Protein – Cat# AAA114154 – SDS-PAGE SDS-PAGE

Erythropoietin, Recombinant Protein (Cat# AAA114154)

No reviews yet
Full Name
Recombinant Pig Erythropoietin
Purity
Greater or equal to 85% purity as determined by SDS-PAGE.
Pricing

Osteocalcin (BGLAP), Recombinant Protein (Cat# AAA114155)

No reviews yet
Full Name
Recombinant Chicken Osteocalcin (BGLAP)
Purity
Greater or equal to 85% purity as determined by SDS-PAGE.
Pricing
E Coli Or Yeast Or Baculovirus Or Mammalian Cell GPI Recombinant Protein – Cat# AAA113932 – SDS-PAGE SDS-PAGE

Glucose-6-phosphate isomerase (GPI), Recombinant Protein (Cat# AAA113932)

No reviews yet
Full Name
Recombinant Human Glucose-6-phosphate isomerase (GPI)
Gene Names
GPI; AMF; NLK; PGI; PHI; GNPI; SA36; SA-36
Purity
Greater or equal to 85% purity as determined by SDS-PAGE.
Pricing

Actin, aortic smooth muscle (ACTA2), Recombinant Protein (Cat# AAA113935)

No reviews yet
Full Name
Recombinant Human Actin, aortic smooth muscle (ACTA2)
Gene Names
ACTA2; ACTSA
Purity
Greater or equal to 85% purity as determined by SDS-PAGE.
Pricing
E Coli Or Yeast Or Baculovirus Or Mammalian Cell AR Recombinant Protein – Cat# AAA113945 – SDS-PAGE SDS-PAGE

Androgen receptor (AR), partial, Recombinant Protein (Cat# AAA113945)

No reviews yet
Full Name
Recombinant Human Androgen receptor (AR), partial
Gene Names
AR; KD; AIS; TFM; DHTR; SBMA; HYSP1; NR3C4; SMAX1; HUMARA
Purity
Greater or equal to 85% purity as determined by SDS-PAGE.
Pricing

DNA-directed RNA polymerase I subunit RPA2 (Polr1b), Recombinant Protein (Cat# AAA113955)

No reviews yet
Full Name
Recombinant Mouse DNA-directed RNA polymerase I subunit RPA2 (Polr1b) , partial
Gene Names
Polr1b; RPA2; 128kDa; RPA116; RPA135; Rpo1-2; D630020H17Rik
Purity
Greater or equal to 85% purity as determined by SDS-PAGE.

Fibrillin-2 (FBN2), Recombinant Protein (Cat# AAA113956)

No reviews yet
Full Name
Recombinant Human Fibrillin-2 (FBN2) , partial
Gene Names
FBN2; CCA; DA9; EOMD
Purity
Greater or equal to 85% purity as determined by SDS-PAGE.
Pricing

Dipeptidase 1 (DPEP1), Recombinant Protein (Cat# AAA113963)

No reviews yet
Full Name
Recombinant Sheep Dipeptidase 1 (DPEP1)
Purity
Greater or equal to 85% purity as determined by SDS-PAGE.
Pricing
E Coli Or Yeast Or Baculovirus Or Mammalian Cell TUBB4A Recombinant Protein – Cat# AAA113971 – SDS-PAGE SDS-PAGE

Tubulin beta-4A chain, Recombinant Protein (Cat# AAA113971)

No reviews yet
Full Name
Recombinant Human Tubulin beta-4A chain (TUBB4A)
Gene Names
TUBB4A; DYT4; TUBB4; beta-5
Purity
Greater or equal to 85% purity as determined by SDS-PAGE.
Pricing
E Coli Or Yeast Or Baculovirus Or Mammalian Cell Mgp Recombinant Protein – Cat# AAA113972 – SDS-PAGE SDS-PAGE

Matrix Gla protein, Recombinant Protein (Cat# AAA113972)

No reviews yet
Full Name
Recombinant Human Matrix Gla protein
Gene Names
MGP; NTI; GIG36; MGLAP
Purity
Greater or equal to 85% purity as determined by SDS-PAGE.
Pricing

Parathyroid hormone (Pth), Recombinant Protein (Cat# AAA113976)

No reviews yet
Full Name
Recombinant Rat Parathyroid hormone (Pth)
Gene Names
Pth; Pth1; Pthr1; PTH-(1-84)
Purity
Greater or equal to 85% purity as determined by SDS-PAGE.
Pricing
E Coli Or Yeast Or Baculovirus Or Mammalian Cell FGF7 Recombinant Protein – Cat# AAA113983 – SDS-PAGE SDS-PAGE

Fibroblast growth factor 7 (FGF7), Recombinant Protein (Cat# AAA113983)

No reviews yet
Full Name
Recombinant Sheep Fibroblast growth factor 7 (FGF7)
Gene Names
FGF7; KGF; FGF-7; HBGF-7
Purity
Greater or equal to 85% purity as determined by SDS-PAGE.
Pricing
E Coli Or Yeast Or Baculovirus Or Mammalian Cell SLC4A1 Recombinant Protein – Cat# AAA113990 – SDS-PAGE SDS-PAGE

Band 3 anion transport protein (SLC4A1), Recombinant Protein (Cat# AAA113990)

No reviews yet
Full Name
Recombinant Human Band 3 anion transport protein (SLC4A1)
Gene Names
SLC4A1; DI; FR; SW; WD; WR; AE1; WD1; BND3; EPB3; CD233; EMPB3; RTA1A
Purity
Greater or equal to 85% purity as determined by SDS-PAGE.
Pricing

Protein Wnt-6 (Wnt6), Recombinant Protein (Cat# AAA113992)

No reviews yet
Full Name
Recombinant Mouse Protein Wnt-6 (Wnt6)
Gene Names
Wnt6; Wnt-6; AA409270
Purity
Greater or equal to 85% purity as determined by SDS-PAGE.
Pricing

Glutathione S-transferase Mu 1 (GSTM1), Recombinant Protein (Cat# AAA113995)

No reviews yet
Full Name
Recombinant Human Glutathione S-transferase Mu 1 (GSTM1)
Gene Names
GSTM1; MU; H-B; GST1; GTH4; GTM1; MU-1; GSTM1-1; GSTM1a-1a; GSTM1b-1b
Purity
Greater or equal to 85% purity as determined by SDS-PAGE.
Pricing
E Coli Or Yeast Or Baculovirus Or Mammalian Cell STATH Recombinant Protein – Cat# AAA113998 – SDS-PAGE SDS-PAGE

Statherin (STATH), Recombinant Protein (Cat# AAA113998)

No reviews yet
Full Name
Recombinant Human Statherin (STATH)
Gene Names
STATH; STR
Purity
Greater or equal to 85% purity as determined by SDS-PAGE.
Pricing

Delta-1-pyrroline-5-carboxylate synthase (ALDH18A1), Recombinant Protein (Cat# AAA113999)

No reviews yet
Full Name
Recombinant Human Delta-1-pyrroline-5-carboxylate synthase (ALDH18A1)
Gene Names
ALDH18A1; GSAS; P5CS; PYCS; SPG9; ADCL3; SPG9A; SPG9B; ARCL3A
Purity
Greater or equal to 85% purity as determined by SDS-PAGE.
Pricing
E Coli Or Yeast Or Baculovirus Or Mammalian Cell PPP1CB Recombinant Protein – Cat# AAA114004 – SDS-PAGE SDS-PAGE

Serine/threonine-protein phosphatase PP1-beta catalytic subunit (PPP1CB), Recombinant Protein (Cat# AAA114004)

No reviews yet
Full Name
Recombinant Human Serine/threonine-protein phosphatase PP1-beta catalytic subunit (PPP1CB)
Gene Names
PPP1CB; PP1B; PP-1B; PPP1CD; PP1beta; HEL-S-80p
Purity
Greater or equal to 85% purity as determined by SDS-PAGE.
Pricing

60S ribosomal protein L41 (Rpl41), Recombinant Protein (Cat# AAA113839)

No reviews yet
Full Name
Recombinant Rat 60S ribosomal protein L41 (Rpl41)
Purity
Greater or equal to 85% purity as determined by SDS-PAGE.
Pricing
E Coli Or Yeast Or Baculovirus Or Mammalian Cell AGXT Recombinant Protein – Cat# AAA113846 – SDS-PAGE SDS-PAGE

Serine--pyruvate aminotransferase, Recombinant Protein (Cat# AAA113846)

No reviews yet
Full Name
Recombinant Human Serine--pyruvate aminotransferase
Gene Names
AGXT; AGT; PH1; SPT; AGT1; SPAT; TLH6; AGXT1
Purity
Greater or equal to 85% purity as determined by SDS-PAGE.
Pricing
E Coli Or Yeast Or Baculovirus Or Mammalian Cell AR Recombinant Protein – Cat# AAA113855 – SDS-PAGE SDS-PAGE

Androgen receptor (AR), Recombinant Protein (Cat# AAA113855)

No reviews yet
Full Name
Recombinant Rabbit Androgen receptor (AR), partial
Purity
Greater or equal to 85% purity as determined by SDS-PAGE.

Complement C1s subcomponent (C1S), Recombinant Protein (Cat# AAA113857)

No reviews yet
Full Name
Recombinant Human Complement C1s subcomponent (C1S)
Gene Names
C1S; EDSPD2
Purity
Greater or equal to 85% purity as determined by SDS-PAGE.
Pricing
E Coli Or Yeast Or Baculovirus Or Mammalian Cell Cma1 Recombinant Protein – Cat# AAA113860 – SDS-PAGE SDS-PAGE

Chymase, Recombinant Protein (Cat# AAA113860)

No reviews yet
Full Name
Recombinant Mouse Chymase
Gene Names
Cma1; Mcp5; Mcp-5; Mcpt5; MMCP-5
Purity
Greater or equal to 85% purity as determined by SDS-PAGE.
Pricing

Receptor-type tyrosine-protein kinase FLT3 (FLT3), Recombinant Protein (Cat# AAA113863)

No reviews yet
Full Name
Recombinant Human Receptor-type tyrosine-protein kinase FLT3 (FLT3), partial
Gene Names
FLT3; FLK2; STK1; CD135; FLK-2
Purity
Greater or equal to 85% purity as determined by SDS-PAGE.
Pricing

Pleiotrophin (PTN), Recombinant Protein (Cat# AAA113869)

No reviews yet
Full Name
Recombinant Chicken Pleiotrophin (PTN)
Purity
Greater or equal to 85% purity as determined by SDS-PAGE.
Pricing
E Coli Or Yeast Or Baculovirus Or Mammalian Cell RBP3 Recombinant Protein – Cat# AAA113875 – SDS-PAGE SDS-PAGE

Retinol-binding protein 3, Recombinant Protein (Cat# AAA113875)

No reviews yet
Full Name
Recombinant Bovine Retinol-binding protein 3
Gene Names
RBP3; IRBP; RBPI; RP66; D10S64; D10S65; D10S66
Purity
Greater or equal to 85% purity as determined by SDS-PAGE.
Pricing
E Coli Or Yeast Or Baculovirus Or Mammalian Cell PFN1 Recombinant Protein – Cat# AAA113883 – SDS-PAGE SDS-PAGE

Profilin-1 (PFN1), Recombinant Protein (Cat# AAA113883)

No reviews yet
Full Name
Recombinant Human Profilin-1 (PFN1)
Gene Names
PFN1; ALS18
Purity
Greater or equal to 85% purity as determined by SDS-PAGE.
Pricing

Adenosine deaminase (Ada), Recombinant Protein (Cat# AAA113896)

No reviews yet
Full Name
Recombinant Mouse Adenosine deaminase (Ada)
Purity
Greater or equal to 85% purity as determined by SDS-PAGE.
Pricing
E Coli Or Yeast Or Baculovirus Or Mammalian Cell LGALS1 Recombinant Protein – Cat# AAA113910 – SDS-PAGE SDS-PAGE

Galectin-1, Recombinant Protein (Cat# AAA113910)

No reviews yet
Full Name
Recombinant Bovine Galectin-1 (LGALS1)
Purity
Greater or equal to 85% purity as determined by SDS-PAGE.
Pricing

What Are Recombinant Proteins?


A recombinant protein is created by inserting the gene of interest into a host system like E. coli, mammalian cells, or insect cells. This protein expression method results in the large-scale production of protein in a controlled environment with highly precise structures and functionality. Proteins produced via the “Recombinant” methodology have proven themselves crucial in various biological research areas, including immunology, neuroscience, cancer research, drug delivery and development, and more.


Core Recombinant Protein Product Lines:


  • Human: Produced from human genes (e.g., growth factors, cytokines).

  • Animal: Derived from mouse, rat, or other animals (e.g., mouse antibodies, enzymes).

  • Bacterial: Produced in bacteria like E. coli (e.g., enzymes, bacterial toxins).

  • Yeast: Produced in yeast cells (e.g., surface proteins, metabolic enzymes).

  • Insect:Expressed in insect cells (e.g., viral proteins, glycoproteins).

  • Viral: Derived from viral genomes (e.g., spike proteins for vaccine development).


How Does It Work?


  • Gene Identification and Cloning: Scientists first find the exact gene that codes for the protein they are interested in producing, and then create a copy of said gene.

  • Recombinant DNA Creation: The copied gene is then inserted into a vector (a vehicle-like plasmid) that can be transported safely into your intended expression host cell/system.

  • Host Cell Transformation: The vector (with the foreign gene inside) is shuttled into a host cell. This host can be a bacterium (like E. coli), yeast, insect cells, or mammalian cells, depending on the type of protein or protein characteristics needed.

  • Protein Expression: The host cell “reads” the copied gene that was shuttled into it, and begins to produce the gene’s coded-for protein using its own cellular machinery. The host can continue to multiply, and with each new cell, more protein is produced.

  • Protein Purification: After enough protein has been made, scientists collect the host cell and separate out the target protein. The protein is then carefully purified so it is free of contaminants, ideally active, and also safe for use. Learn more in our guide on “factors affecting recombinant protein yield”.

The result is a purified recombinant protein, a lab-made protein that is biologically identical (in most respects) to the natural/native version.


We take this process a step further, offering recombinant proteins that are produced with precise control over sequence modifications, expression levels, and large-scale production. This ensures high-quality, consistent results that will be able to support your research needs and empower your scientific discoveries.


Some of the expression hosts/systems used in recombinant protein generation by AAA Biotech include:


  • Escherichia coli (E. coli)

  • Human (Homo sapiens)

  • Chinese Hamster

  • Yeast

  • Insect cells (e.g., Baculovirus expression system)

Recombinant Protein Offerings


S.No Protein Expression Systems Quality and Bioactivity Formats and Flexibility
01. E. coli, HEK293, CHO, yeast, and insect cells Validated high bioactivity and binding activity Ready-to-use formats (lyophilized or liquid formulations available)
02. 675+ recombinant protein products High protein purity (≥95%) Available in flexible pack sizes
03. Custom protein production (His-tag, GST, FLAG, and Fc fusion) Lot-to-lot consistency through QC protocols Wide range of targets (Cytokines, growth factors, enzymes, receptors, signaling proteins, etc.)

Applications Of Our Recombinant Proteins


  • Studying protein interactions (protein–protein or protein–DNA).

  • Testing biological pathways with functional/activity assays.

  • Creating standard curves in ELISA and other tests, often supported by high-quality ELISA kits for accurate quantification.

  • Making antigens/immunogens for antibody production.

  • Drug discovery and screening.

  • Finding and confirming biomarkers.

  • Researching cell signaling and immunity.

  • Developing vaccines.

Read more about the applications of the recombinant proteins here!


Why Buy Recombinant Proteins from AAA Biotech?


1. High Purity & Verified Quality:


Most of our proteins are ≥ 95% pure. We also test the biological activity of our products where it's relevant (it will be indicated on the product page).


2. Multiple Expression Systems:


We offer proteins made in multiple host systems, and this enables researchers to pick the system that gives them the best folding, post-translational modifications, or functionality for their experiment requirements.


3. Custom & Flexible Options:


Need a special tag (His, GST, FLAG, Fc fusion)? Or a custom variant? We can provide it. Our proteins come in formats that are lab-friendly: lyophilized (dry) or “ready-to-use” liquid.


4. Rigorous Quality Control & Documentation:


Every batch is backed by strong QC. This means you can rely on product consistency, two different batches will perform similarly.


5. Wide Variety & Global Availability:


We carry a large and growing catalog of recombinant proteins to cover almost all needs in research (immunology, oncology, vaccine work, etc.)


6. Researcher-Focused Support:


Technical support, clear documentation, and user-friendly product pages help you select the right protein for your work. Plus, our user-friendly packaging and handling, and global shipping are all designed to reduce delays, damage, and hassles.


Order Recombinant Proteins Today!


We are committed to supporting the research community with recombinant proteins that display exceptional performance and reliability. Our proteins are produced using industry-standard methods and are validated to meet the needs of academic, pharmaceutical, and biotechnology laboratories.


We have a track record of delivering proteins that work — large numbers of researchers rely on them in many published studies. Browse our catalog to find the perfect protein for your research applications now!


FAQ


1. What is involved in the purification of recombinant proteins?


The purification process of these recombinant proteins is performed to isolate the specific protein produced by the host cell from unwanted substances. The process generally includes techniques such as “affinity chromatography” to separate the protein from other proteins and impurities. AAA Biotech generally offers proteins ≥ 95% pure, depending on the protein type.


2. What are some examples of popular AAA Biotech recombinant proteins?


Some examples of recombinant proteins include:


Retinoblastoma Protein (Cat # AAA10852) – reportedly used in vaccine research and antibody development. Hepatitis B Surface Antigen (HBsAg) (Cat# AAA13446) – reportedly used in diagnostic tests and vaccine development for Hepatitis B. High-Mobility Group Box 1 (HMGB1) (Cat# AAA10851) – reportedly used in inflammation and immune response research.


3. How are AAA Biotech recombinant proteins validated?


Each batch undergoes stringent quality control checks, including SDS-PAGE analysis, endotoxin testing (for select products), and activity assaying (for select products). Certificates of Analysis are provided with every product (only upon request for some products).


4. Are your proteins suitable for therapeutic development or only research?


AAA Biotech recombinant proteins are strictly for research-use only and are not intended for diagnostic or therapeutic purposes in humans or animals.


5. What types of expression systems do you use for recombinant protein production?


The production labs use a variety of expression platforms, including bacterial (E. coli), yeast, insect (baculovirus), and mammalian (HEK293, CHO) systems. The expression system used depends on the complexity and intended function/use of the protein.


Submit a Question

Please complete the form below and a representative will contact you as soon as possible.

Request more Information

Please complete the form below and a representative will contact you as soon as possible.

Request a Manual

Please complete the form below and a representative will contact you as soon as possible.

Request a Quote

Please complete the form below and a representative will contact you as soon as possible.