Loading...

Skip to main content
Call us at +1-800-604-9114 for more information about our products or contact us online Need help? +1-800-604-9114 or contact us

Filters


Clonality

Type

Reactivity

Gene Name

Isotype

Host

Application

Clone

Active Proteins

AAA Biotech also known as AAA Bio or AAABio provides a variety of high-quality recombinant and natural/native proteins that are proven to work in a wide range of experiments. Explore our products to find the active protein that best fits your needs or experimental model.


Viewing 500-550 of 2583 product results


product-image-AAA76392_AD13.jpg Application Data (Binding and in vitro activity of murine 18V4F hybridoma antibody.Directly coated chemokines were used here for direct comparisons, however in other experiments CCL3 showed a significantly enhanced signal when biotinylated and coated on streptavidin plates.)

MIP-1 alpha (CCL-3), Active Protein (Cat# AAA76392)

Full Name
Mouse MIP-1 alpha (CCL-3) Recombinant
Gene Names
Ccl3; Mip1a; Scya3; G0S19-1; AI323804; MIP1-(a); LD78alpha; MIP-1alpha; MIP1-alpha
Purity
>95%, as determined by SDS-PAGE and HPLC
Pricing
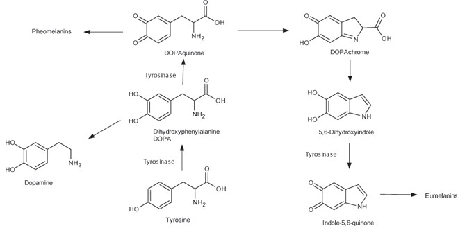
product-image-AAA77051_AD11.jpg Melanin and Catecholamine Synthesis Pathways

Tyrosinase, Active Protein (Cat# AAA77051)

Full Name
Tyrosinase (human), (recombinant) (His-tag)
Gene Names
TYR; CMM8; OCA1A; OCAIA; SHEP3
Purity
>=85% (SDS-PAGE)
Purified by multi-step chromatography
Pricing

Mutarotase, Active Protein (Cat# AAA78982)

Full Name
Recombinant Mutarotase from Pig kidney
Pricing
product-image-AAA79168_AD13.jpg Application Data

RANTES (CCL 5), Active Protein (Cat# AAA79168)

Full Name
Rat RANTES (CCL 5)
Gene Names
Ccl5; Scya5; Rantes
Reactivity
Rat
Purity
> 98% by SDS-PAGE & silver stain
Pricing
product-image-AAA243727_BIOACTIVITY13.jpg Bioactivity

Membrane Cofactor (CD46), Active Protein (Cat# AAA243727)

Full Name
Recombinant Human Membrane Cofactor Protein (CD46)
Gene Names
CD46; MCP; TLX; AHUS2; MIC10; TRA2.10
Purity
Greater or equal to 85% purity as determined by SDS-PAGE.
Pricing
product-image-AAA244034_BIOACTIVITY13.jpg Bioactivity

Angiotensin-converting enzyme (ACE2), Active Protein (Cat# AAA244034)

Full Name
Recombinant Macaca fascicularis Angiotensin-converting enzyme (ACE2), partial
Purity
Greater or equal to 85% purity as determined by SDS-PAGE.
Pricing
product-image-AAA257970_AD11.png Application Data (Measured by its binding ability in a functional ELISA. Immobilized human APOH-his at 2 ug/mL (100 ul/well) can bind biotinylated mouse LDLR-his, The EC50 of biotinylated mouse LDLR-his is 26 ng/mL.)

Apolipoprotein H, Active Protein (Cat# AAA257970)

Full Name
Apolipoprotein H Protein, Human, Recombinant (His Tag)
Gene Names
APOH; BG; B2G1; B2GP1
Purity
>96% as determined by SDS-PAGE
Pricing
product-image-AAA257899_AD13.png Application Data (Measured by its binding ability in a functional ELISA. Immobilized human TDGF1 at 2 ug/ml (100 ul/well) can bind human ALK-4 with a linear range of 0.032-4 ug/ml.)

ALK4/ACVR1B, Active Protein (Cat# AAA257899)

Full Name
ALK4/ACVR1B Protein, Human, Recombinant (His Tag)
Gene Names
ACVR1B; ALK4; SKR2; ACTRIB; ACVRLK4
Purity
>92% as determined by SDS-PAGE
Pricing
product-image-AAA257826_AD13.png Application Data (Measured by its ability to inhibit BMP9 induced alkaline phosphatase production by MC3T3E1 mouse chondrogenic cells. David, L. et al. (2007) Blood 109:1953. The ED50 for this effect is typically 50-200 ng/mL in the presence of 2 ng/mL of recombiant human BMP9.)

ALK-1, Active Protein (Cat# AAA257826)

Full Name
ALK-1 Protein, Human, Recombinant (His Tag)
Gene Names
ACVRL1; HHT; ALK1; HHT2; ORW2; SKR3; ALK-1; TSR-I; ACVRLK1
Purity
>92% as determined by SDS-PAGE
Pricing
product-image-AAA257850_AD13.png Application Data (Measured by its ability to neutralize Activin-mediated inhibition on MPC11 cell proliferation. The ED50 for this effect is typically 0.3-2 ug/mL in the presence of 10 ng/mL recombinant Activin A.)

ACVR2B, Active Protein (Cat# AAA257850)

Full Name
ACVR2B Protein, Human, Recombinant (His Tag)
Gene Names
ACVR2B; HTX4; ACTRIIB; ActR-IIB
Purity
>97% as determined by SDS-PAGE
Pricing
product-image-AAA258053_AD13.png Application Data (Measured in a cell proliferation assay using BALB/c 3T3 mouse fibroblasts. The ED50 for this effect is typically 0.4-1.6 ug/mL.)

FGF8, Active Protein (Cat# AAA258053)

Full Name
FGF8 Protein, Human, Recombinant
Gene Names
FGF8; HH6; AIGF; KAL6; FGF-8; HBGF-8
Purity
>95% as determined by SDS-PAGE
Pricing
product-image-AAA258265_AD13.png Application Data (Measured by its ability to neutralize Activin-mediated inhibition on MPC11 cell proliferation. The ED50 for this effect is typically 0.2-1 ug/mL in the presence of 10 ng/mL recombinant Activin A.)

ACVR2B, Active Protein (Cat# AAA258265)

Full Name
ACVR2B Protein, Cynomolgus, Recombinant (His Tag)
Purity
>95% as determined by SDS-PAGE
Pricing
product-image-AAA258152_AD13.png Application Data (Measured by its binding ability in a functional ELISA. Immobilized Mouse Angiopoietin-2-His at 2 ug/ml (100 ul/well) can bind mouse TEK-Fc, the EC50 of mouse TEK-Fc is 350-900 ng/mL.)

Angiopoietin-2, Active Protein (Cat# AAA258152)

Full Name
Angiopoietin-2 Protein, Mouse, Recombinant (His Tag)
Gene Names
Angpt2; Ang2; Agpt2; Ang-2
Purity
>95% as determined by SDS-PAGE
Pricing
product-image-AAA258185_AD13.png Application Data (Measured by its ability to neutralize Activin-mediated inhibition on MPC11 cell proliferation. The ED50 for this effect is typically 0.6-3 ug/mL in the presence of 10 ng/ml Recombinant Human Activin A.)

ACVR2A, Active Protein (Cat# AAA258185)

Full Name
ACVR2A Protein, Mouse, Recombinant (His Tag)
Gene Names
Acvr2a; Acvr2; ActrIIa; TactrII
Purity
>97% as determined by SDS-PAGE
> 95% as determined by SEC-HPLC
Pricing
product-image-AAA161885_BIOACTIVITY13.jpg Bioactivity (Activating transcription factor 3 (ATF3) is a stress-induced transcription factor that plays vital roles in modulating metabolism, immunity and oncogenesis. ATF3 acts as a hub of the cellular adaptive-response network. Multiple extracellular signals, such as endoplasmic reticulum (ER) stress, cytokines, chemokines, and LPS, are connected to ATF3 induction. Proto-oncogene c-Fos can bind to ATF3 to regulate signal transduction, cell proliferation and differentiation. Thus a functional ELISA assay was conducted to detect the interaction of recombinant mouse ATF3 and recombinant human FOS. Briefly, ATF3 was diluted serially in PBS with 0.01% BSA (pH 7.4). Duplicate samples of 100 ul were then transferred to FOS-coated microtiter wells and incubated for 1h at 37 degree C. Wells were washed with PBST and incubated for 1h with anti-ATF3 pAb, then aspirated and washed 3 times. After incubation with HRP labelled secondary antibody for 1h at 37 degree C, wells were aspirated and washed 5 times. With the addition of substrate solution, wells were incubated 15-25 minutes at 37 degree C. Finally, add 50 uL stop solution to the wells and read at 450/630nm immediately. The binding activity of recombinant mouse ATF3 and recombinant human FOS was shown in Figure 1, the EC50 for this effect is 0.13 ug/mL.)

Activating Transcription Factor 3 (ATF3), Active Protein (Cat# AAA161885)

Full Name
Active Activating Transcription Factor 3 (ATF3)
Gene Names
Atf3; LRG-21
Applications
Activity Assay, Cell Culture
Purity
Greater than 90% by SDS-PAGE
Pricing
product-image-AAA161937_BIOACTIVITY13.jpg Bioactivity (The Semaphorin 3A(SEMA3A) which belongs to the semaphorin family can function as either a chemorepulsive agent, inhibiting axonal outgrowth, or as a chemoattractive agent, stimulating the growth of apical dendrites. In both cases, the protein is vital for normal neuronal pattern development. Semaphorin 3A is secreted protein containing a Sema domain, an immunoglobulin C2-like domain and a basic domain near the carboxyl tail. It can be secreted by neurons and surrounding tissue to guide migrating cells and axons in the developing nervous system. Besides, Neuropilin 1 (NRP1) has been identified as an interactor of SEMA3A, thus a functional binding ELISA assay was conducted to detect the interaction of recombinant rat SEMA3A and recombinant human NRP1. Briefly, SEMA3A were diluted serially in PBS, with 0.01% BSA (pH 7.4). Duplicate samples of 100 ul were then transferred to NRP1-coated microtiter wells and incubated for 2h at 37 degree C. Wells were washed with PBST and incubated for 1h with anti-SEMA3A pAb, then aspirated and washed 3 times. After incubation with HRP labelled secondary antibody, wells were aspirated and washed 3 times. With the addition of substrate solution, wells were incubated 15-25 minutes at 37 degree C. Finally, add 50 ul stop solution to the wells and read at 450 nm immediately. The binding activity of recombinant rat SEMA3A and recombinant human NRP1 was shown in Figure 1, the EC50 for this effect is 1.22 ug/mL.)

Semaphorin 3A (SEMA3A), Active Protein (Cat# AAA161937)

Full Name
Active Semaphorin 3A (SEMA3A)
Applications
Activity Assay, Cell Culture
Purity
Greater than 90% by SDS-PAGE
Pricing
product-image-AAA161719_BIOACTIVITY13.jpg Bioactivity (Apolipoprotein C1 (APOC1), also known as Apo-CI; ApoC-I; apo-CIB; apoC-IB, is the smallest size apolipoprotein of all apolipoprotein C family (Mr = 6.6 kDa) and located at position 19q13.32. APOC1 is primarily expressed in the liver and activated when monocytes differentiate into macrophages. It plays important roles in the innate immune response as effector of glucocorticoid-mediated responses and regulator of the inflammatory process. It has anti-inflammatory activity and also can promote the differentiation of T-cells into Th1 cells and negatively regulates differentiation into Th2 cells. Besides, Apolipoprotein C3 (APOC3) has been identified as an interactor of APOC1, thus a functional binding ELISA assay was conducted to detect the interaction of recombinant human APOC1 and recombinant mouse APOC3. Briefly, APOC1 was diluted serially in PBS with 0.01% BSA (pH 7.4). Duplicate samples of 100 ul were then transferred to APOC3-coated microtiter wells and incubated for 1h at 37 degree C. Wells were washed with PBST and incubated for 1h with anti-APOC1 pAb, then aspirated and washed 3 times. After incubation with HRP labelled secondary antibody for 1h at 37 degree C, wells were aspirated and washed 5 times. With the addition of substrate solution, wells were incubated 15-25 minutes at 37 degree C. Finally, add 50 uL stop solution to the wells and read at 450/630 nm immediately. The binding activity of recombinant human APOC1 and recombinant mouse APOC3 was shown in Figure 1, the EC50 for this effect is 2.19 ug/mL.)

Apolipoprotein C1 (APOC1), Active Protein (Cat# AAA161719)

Full Name
Active Apolipoprotein C1 (APOC1)
Applications
Activity Assay, Cell Culture
Purity
Greater than 80% by SDS-PAGE
Pricing
product-image-AAA161664_BIOACTIVITY11.jpg Bioactivity (Figure 2. Cell proliferation of M-NFS-60 cells after stimulated with G-CSF.)

Colony Stimulating Factor 3, Granulocyte (GCSF), Active Protein (Cat# AAA161664)

Full Name
Active Colony Stimulating Factor 3, Granulocyte (GCSF)
Gene Names
CSF3; G-CSF
Applications
Activity Assay, Cell Culture
Purity
Greater than 95% by SDS-PAGE
Pricing
product-image-AAA153115_BIOACTIVITY13.jpg Bioactivity (Catalase (CAT) is an antioxidant enzyme present in all aerobic organisms. It is known to catalyze H2O2 into water and oxygen in an energy-efficient manner in the cells exposed to environmental stress. As we know, H2O2 and (NH4)2MoO4 can produce a stable y)

Catalase (CAT), Active Protein (Cat# AAA153115)

Full Name
Active Catalase (CAT)
Applications
Activity Assay, Cell Culture
Purity
Greater than 90% by SDS-PAGE
Pricing
product-image-AAA153119_BIOACTIVITY13.jpg Bioactivity (Fibroblast growth factor 17(FGF17)  is a member of the fibroblast growth factorfamily. FGF family members possess broad mitogenicand cell survival activities and are involved in a varietyof biological processes, including embryonicdevelopment cell growth,)

Fibroblast Growth Factor 17 (FGF17), Active Protein (Cat# AAA153119)

Full Name
Active Fibroblast Growth Factor 17 (FGF17)
Gene Names
FGF17; HH20; FGF-13; FGF-17
Applications
Activity Assay, Cell Culture
Purity
Greater than 95% by SDS-PAGE
Pricing
product-image-AAA153137_BIOACTIVITY13.jpg Bioactivity (Fibroblast growth factor 15 is a protein in mouse encoded by the Fgf15 gene. It is a member of the fibroblast growth factor (FGF) family but, like FGF19, FGF21 and FGF23, has endocrine functions. FGF15 subsequently acts on a cell surface receptor complex)

Fibroblast Growth Factor 15 (FGF15), Active Protein (Cat# AAA153137)

Full Name
Active Fibroblast Growth Factor 15 (FGF15)
Gene Names
Fgf19; Fgf15
Applications
Activity Assay, Cell Culture
Purity
Greater than 90% by SDS-PAGE
Pricing
product-image-AAA150084_AD11.jpg Application Data (Transforming growth factor beta (TGF-) is a multifunctional cytokine belonging to the transforming growth factor superfamily. The TGF- superfamily includes endogenous growth inhibiting proteins; an increase in expression of TGF- often correlates with the malignancy of many cancers and a defect in the cellular growth inhibition response to TGF-. Its immunosuppressive functions then come to dominate, contributing to oncogenesis. To test the effect of TGF- on inhibit HGF-dependent proliferation, HepG2 cells were seeded into triplicate wells of 96-well plates at a density of 2,000 cells/well and allowed to attach, replaced with serum-free overnight, then the medium was replaced with 2% serum standard DMEM including 1ng/mL HGF prior to the addition of various concentrations of recombinant human TGF-. After incubated for 96h, cells were observed by inverted microscope and cell proliferation was measured by Cell Counting Kit-8 (CCK-8). Briefly, 10uL of CCK-8 solution was added to each well of the plate, then the absorbance at 450nm was measured using a microplate reader after incubating the plate for 1-4 hours at 37. The inhibitory effect of TGF- on HGF-dependent proliferation of HepG2 cells observed by inverted microscope was shown in Figure 2. Cell viability was assessed by CCK-8 assay after incubation with recombinant TGF- for 96h. The result was shown in Figure 3. It was obvious that TGF- significantly decreased cell viability of HepG2 cells. (A) HepG2 cells cultured in DMEM, stimulated with 1ug/mL TGF- for 96h; (B) Unstimulated HepG2 cells cultured in DMEM for 96h.Figure.The inhibitory effect of TGF- on cell proliferation of HepG2 cells.)

Transforming Growth Factor Beta 2, Active Protein (Cat# AAA150084)

Full Name
Active Transforming Growth Factor Beta 2 (TGFb2)
Gene Names
TGFB2; LDS4; G-TSF; TGF-beta2
Applications
Activity Assay, Cell Culture
Purity
>90%
Pricing
product-image-AAA60315_BIOACTIVITY11.jpg Bioactivity (HTRF assay for Recombinant MRCKb/CDC42BPB (1-473) protein activity 1 uM STK S3 substrate was incubated with different concentrations of MRCKb/CDC42BPB (1-473) protein in a 10 ul reaction system containing 5 mM MgCl2, 1 mM DTT and 100 uM ATP for 1 hour. Then 10 ul detection reagents containing anti-STK antibody (1:2) GST and SA-XL665 mixture (each 1:100 diluted with 1X Detection Buffer were added and incubated with the reactions for 30 min. All the operations and reactions were performed at room temperature. HTRF assay was used for detection.)

MRCKb/CDC42BPB, Active Protein (Cat# AAA60315)

Full Name
Recombinant MRCKb/CDC42BPB (1-473) protein
Purity
>95%
Pricing
product-image-AAA60322_BIOACTIVITY13.jpg Bioactivity (HTRF assay for RPS6KB1 activity 1 uM STK S3 substrate was incubated with different concentrations of RPS6KB1 protein in a 10 ul reaction system containing 1×Enzymatic Buffer, 2 mM MgCl2, 1 mM DTT, and 100 uM ATP for 1 hour. The 10 ul detection reagents containing anti-STK antibody (1:2) and SA-XL665 (1:100) diluted with 1× Detection Buffer were added and incubated with the reactions for 30 min. All the operations and reactions were performed at room temperature. HTRF assay was used for detection.)

RPS6KB1, Active Protein (Cat# AAA60322)

Full Name
Recombinant RPS6KB1 protein
Purity
>=95%
Pricing
product-image-AAA60346_BIOACTIVITY13.jpg Bioactivity (ADP-Glo assay for SMARCA (636-1131) activity (Data from ICEB Bioscience Inc.) 100 uM ATP and 10 nM DNA was incubated with different concentrations of SMARCA2 (636-1131) protein in a 10 ul reaction system containing 20 mM HEPES pH 7.5,10 mM MgCl2, 50 mM NaCl, 0.1%Tween-20, 1 mM DTT for 1 hour, 10 ul ADP-Glo Reagent was added to the products and incubated for 1 hour.Then 20 ul Kinase Detection Reagent incubated for 1 hour. All the operations and reactions were performed at RT. Luminescence measurement is collected by BMG.)

SMARCA2, Active Protein (Cat# AAA60346)

Full Name
Recombinant SMARCA2 (636-1131) protein
Pricing
product-image-AAA60314_BIOACTIVITY13.jpg Bioactivity (HTRF for MRCKa/CDC42BPA (1-473) activity 1 uM STK S3 substrate was incubated with different concentrations of MRCKa/CDC42BPA (1-473) protein in 10 ul reaction system containing 1×Enzymatic Buffer, 5 mM MgCl2, 1 mM DTT and 100 uM ATP for 1 hour. Then 10 ul detection reagents containing anti-STK antibody (1:2) and SA-XL665 (1:100) diluted with 1× Detection Buffer were added and incubated with the reactions for 30 min. All the operations and reactions were performed at room temperature. HTRF assay was used for detection.)

MRCKa/CDC42BPA, Active Protein (Cat# AAA60314)

Full Name
Recombinant MRCKa/CDC42BPA (1-473) protein
Purity
>=95%
Pricing

GST T1-1, Active Protein (Cat# AAA71852)

Full Name
GST T1-1, Recombinant Human
Purity
>= 95% as assessed by inspection on a Coomassie Blue-stained SDS-PAGE gel.
Pricing
product-image-AAA73160_BIOACTIVITY13.png Bioactivity

ACE2, Active Protein (Cat# AAA73160)

Full Name
ACE2 (18-615) Protein
Gene Names
ACE2; ACEH
Pricing
product-image-AAA48384_BIOACTIVITY13.jpg Bioactivity (Human SARS-CoV-2 Spike RBD is coated at 5ug/ml (100 ul/well) can bind ACE-2 (CAT# ATGP3963) in a Functional ELISA assay)

COVID 19 Spike RBD Coronavirus, Active Protein (Cat# AAA48384)

Full Name
Recombinant SARS-CoV-2 (2019-nCoV) Spike RBD protein
Applications
Bioactivity, SDS-PAGE
Purity
>95% by SDS-PAGE
Pricing
product-image-AAA48395_BIOACTIVITY13.jpg Bioactivity (Human IL-17E/IL-25 is coated at 2 ug/ml (100 ul/well) can bind Human IL-17 RB (CAT# ATGP4039) in a Functional ELISA assay.)

IL-17E/IL-25, Active Protein (Cat# AAA48395)

Full Name
Recombinant human IL-17E/IL-25 protein
Gene Names
IL25; IL17E
Applications
Bioactivity, SDS-PAGE
Purity
>95% by SDS-PAGE
Pricing
product-image-AAA48407_BIOACTIVITY13.jpg Bioactivity (Mouse OX40 Ligand/TNFSF4 (CAT# ATGP4022) is coated at 1 ug/ml (100 ul/well) can bind Human TNFRSF4. The ED50 range )

OX40/TNFRSF4, Active Protein (Cat# AAA48407)

Full Name
Recombinant human OX40/TNFRSF4 protein
Gene Names
TNFRSF4; OX40; ACT35; CD134; IMD16; TXGP1L
Applications
Bioactivity, SDS-PAGE
Purity
>90% by SDS-PAGE
Pricing
product-image-AAA48974_SDS_PAGE15.jpg SDS-PAGE (3ug by SDS-PAGE under reducing condition and visualized by coomassie blue stain.)

Osteopontin/OPN protein, Active Protein (Cat# AAA48974)

Full Name
Recombinant human Osteopontin/OPN protein
Applications
Bioactivity, SDS-PAGE
Purity
> 90% by SDS-PAGE
Pricing

OX40/TNFRSF4, Active Protein (Cat# AAA48994)

Full Name
Recombinant mouse OX40/TNFRSF4 protein
Gene Names
Tnfrsf4; Ox40; ACT35; CD134; Ly-70; Txgp1; TXGP1L
Applications
Bioactivity, SDS-PAGE
Purity
> 95% by SDS-PAGE
Pricing

Flt3 ligand/FLT3LG, Active Protein (Cat# AAA49008)

Full Name
Recombinant human Flt3 ligand/FLT3LG protein
Gene Names
FLT3LG; FL; FLG3L; FLT3L
Applications
Bioactivity, SDS-PAGE
Purity
> 95% by SDS-PAGE
Pricing
product-image-AAA48318_BIOACTIVITY13.jpg Bioactivity (Mouse M-CSF stimulates cell proliferation of the M-NFS-60 mouse myelogenous leukemia lymphoblast cells. The ED50 range is )

M-CSF, Active Protein (Cat# AAA48318)

Full Name
Recombinant M-CSF
Gene Names
Csf1; op; Csfm; MCSF; C87615
Applications
Bioactivity, SDS-PAGE
Purity
> 90% by SDS - PAGE
Pricing
product-image-AAA48324_BIOACTIVITY13.jpg Bioactivity (Mouse TRANCE/RANK L/TNFSF11 stimulates osteoclast differentiation of the RAW 264.7 mouse monocyte/macrophage cells. The ED50 range )

TRANCE/RANK L/TNFSF11, Active Protein (Cat# AAA48324)

Full Name
Recombinant TRANCE/RANK L/TNFSF11
Gene Names
Tnfsf11; ODF; OPGL; RANKL; Ly109l; Trance
Applications
Bioactivity, SDS-PAGE
Purity
> 90% by SDS - PAGE
Pricing
product-image-AAA48370_BIOACTIVITY13.jpg Bioactivity (SARS-CoV-2 Spike S1 Subunit is coated at 5ug/ml (100 ul/well) can bind ACE-2 (CAT# ATGP3963) in a Functional ELISA assay.)

COVID 19 Spike S1 Subunit Coronavirus, Active Protein (Cat# AAA48370)

Full Name
Recombinant SARS-CoV-2 (2019-nCoV) Spike S1 Subunit protein
Applications
Bioactivity, SDS-PAGE
Purity
>85% by SDS-PAGE
Pricing
product-image-AAA48375_BIOACTIVITY13.jpg Bioactivity (SARS-CoV Spike is coated at 5ug/ml (100 ul/well) can bind ACE-2 (CAT# ATGP3963) in a Functional ELISA assay.)

COVID 19 Spike Coronavirus, Active Protein (Cat# AAA48375)

Full Name
Recombinant SARS-CoV Spike protein
Applications
Bioactivity, SDS-PAGE
Purity
>85% by SDS-PAGE
Pricing
product-image-AAA48377_BIOACTIVITY13.jpg Bioactivity (SARS-CoV-2 Spike RBD is coated at 5ug/ml (100 ul/well) can bind ACE-2 (CAT# ATGP3963) in a Functional ELISA assay.)

COVID 19 Spike RBD Coronavirus, Active Protein (Cat# AAA48377)

Full Name
Recombinant SARS-CoV-2 (2019-nCoV) Spike RBD protein
Applications
Bioactivity, SDS-PAGE
Purity
>95% by SDS-PAGE
Pricing
product-image-AAA48379_BIOACTIVITY13.jpg Bioactivity (Canine IL-21 stimulates IFN-g secretion of the NK-92 human natural killer cells. The ED50 range )

IL-21, Active Protein (Cat# AAA48379)

Full Name
Recombinant canine IL-21 protein
Gene Names
IL21; IL-21
Applications
Bioactivity, SDS-PAGE
Purity
>95% by SDS-PAGE
Pricing
product-image-AAA48474_SDS_PAGE15.jpg SDS-PAGE (3ug by SDS-PAGE under reducing condition and visualized by coomassie blue stain.)

PAI-1, Active Protein (Cat# AAA48474)

Full Name
PAI-1, 24-402aa, Human, His tag, E Coli (Bioactivity Validated)
Gene Names
SERPINE1; PAI; PAI1; PAI-1; PLANH1
Applications
Enzyme Activity, SDS-PAGE
Purity
> 95% by SDS-PAGE
Pricing
product-image-AAA48531_SDS_PAGE15.jpg SDS-PAGE

Interleukin-4, Active Protein (Cat# AAA48531)

Full Name
Interleukin- 4, 25-153aa, Human, His tag, E Coli (Bioactivity Validated)
Gene Names
IL4; BSF1; IL-4; BCGF1; BSF-1; BCGF-1
Applications
SDS-PAGE
Purity
> 95% by SDS-PAGE
Pricing

HYALURONIDASE, Active Protein (Cat# AAA50501)

Full Name
NATIVE BOVINE HYALURONIDASE
Applications
ELISA
Pricing

Cancer Antigen 72-4, Active Protein (Cat# AAA44847)

Full Name
Cancer Antigen 72-4 (CA 72-4), Human
Purity
>= 90% (SDS-PAGE)
Pricing

Elastase (ELA-2), Active Protein (Cat# AAA44742)

Full Name
Elastase (ELA-2), Human Neutrophils
Purity
> 96% (SDS-PAGE. Multiple bands observed)
Pricing
product-image-AAA47223_SDS_PAGE13.jpg SDS-PAGE (Figure 1. Human BAFF-R Protein, mFc Tag on SDS-PAGE under reducing condition.)

BAFF-R, Active Protein (Cat# AAA47223)

Full Name
Recombinant Human BAFF-R protein with C-terminal mouse Fc
Gene Names
TNFRSF13C; BAFFR; CD268; CVID4; BAFF-R; BROMIX; prolixin
Applications
Western Blot
Purity
The purity of the protein is greater than 95% as determined by SDS-PAGE and Coomassie blue staining.
Pricing

Leptin (Anti-Obesity Protein) (rHuLeptin), Active Protein (Cat# AAA47954)

Full Name
Recombinant Human Leptin
Gene Names
lep; ob; xlep
Purity
Greater than 95% by RP-HPLC, anion-exchange chromatography; reducing and non-reducing SDS-PAGE, silver stain.
Purification: Chromatographic
Pricing

Vascular Endothelial Growth Factor (rHuVEGF), Active Protein (Cat# AAA47955)

Full Name
Recombinant Human Vascular Endothelial Growth Factor
Gene Names
VEGFA; VPF; VEGF; MVCD1; MGC70609
Purity
Greater than 98% by RP-HPLC, anion-exchange chromatography; reducing and non-reducing SDS-PAGE, silver stain.
Purification: Chromatographic
Pricing

beta Nerve Growth Factor, Active Protein (Cat# AAA38883)

Full Name
Recombinant Human beta Nerve Growth Factor, HEK
Gene Names
NGF; NGFB; HSAN5; Beta-NGF
Purity
Greater than 95% as obsereved by SDS-PAGE.
Pricing

Interleukin-6, Active Protein (Cat# AAA38887)

Full Name
Recombinant Rhesus Macaque Interleukin-6
Gene Names
IL6; HGF; HSF; BSF2; IL-6; IFNB2
Purity
Greater than 97.0% as determined by SDS-PAGE and HPLC analyses.
Pricing

What Are Active Proteins?


Proteins are large molecules made up of long chains of amino acids.
They will typically fold into a very particular 3-dimensional shape/conformation, that is sometimes referred to as their “native” form, which allows them to work properly in the body. For the purposes of product categorization, AAA Biotech will typically refer to proteins purified from their original animal host as being “native” proteins (this is to signify their difference compared to their “recombinant” or “synthetic” protein counterparts).


If a protein successfully folds into the correct shape, it is will typically display high fidelity characteristics to its original protein in its original animal host, and be classified as an active protein, as it will be able to function “normally” in most enzymatic or binding capacities. If it loses this shape, due to factors such as heat or strong chemicals (such as detergents), it becomes inactive and is no longer able to perform its basic functions. All of the proteins in this category are made under strict quality control, and they are active, pure, low in contaminants, and stable.
Most are stored as freeze-dried powders and come without extra tags, so they’re very close to the actual natural/native form.


Key Applications of Active Proteins


1. Scientific Research


  • Aid in the study of how proteins function in the body

  • Aid in understanding various disease processes


2. Drug Development


  • Powerful tools to investigate how potential drugs interact with specific proteins

  • Ideal for identifying drug targets


3. Cell Culture


  • Are routinely utilized to support cell growth and function (e.g., using exogenous growth factors)

  • Can be used to promote cellular development into specific types (differentiation)


4. Diagnostics


  • Regularly utilized in tests to detect diseases or infections (e.g., COVID-19, cancer)

  • Note: All products are strictly for research-use only (RUO).


5. Therapeutics


  • Some active proteins are used directly as treatments (e.g., insulin, enzymes)

  • Note: All products are strictly for research-use only (RUO).


6. Vaccine Development


  • Used to create or test vaccines by mimicking parts of viruses or bacteria


7. Biochemical Assays


  • They can facilitate the characterization of enzyme activity, binding strength, or protein interactions in lab tests


Why Buy Active Proteins from AAA Biotech?


  • High biological activity – Verified to perform as expected or indicated on datasheet

  • Strict quality control – We are confident in our active proteins’ reliability and consistency

  • High purity & low endotoxin – Ideal for applications involving sensitive or precious samples/components

  • Freeze-dried for stability – Long shelf life and straightforward storage

  • Mostly tag-free – Closer to natural/native protein form


FAQ


1. What are active proteins used for in research?


Active proteins are used primarily in the study of how proteins function, in characterizing/discovering drug interactions, supporting cell growth, running biochemical assays, and in development of diagnostics or therapeutics.


2. How are AAA Biotech's active proteins validated?


AAA Biotech’s active proteins are validated through strict quality control and functional assays to ensure they are properly folded and active. “Active”, though, can be an ambiguous term, so if a specific “activity” or “binding” capability of a protein is of crucial interest to you, please inquire with us prior to purchase, and we will provide further details on how the “Active” modifier was determined to be applicable.


3. Are these proteins tested for biological activity?


Yes, all active proteins from AAA Biotech are tested to confirm they have the expected biological activity before being offered for use. Though, said “biological activity” can be either “enzymatic”, “binding”, or both.


Submit a Question

Please complete the form below and a representative will contact you as soon as possible.

Request more Information

Please complete the form below and a representative will contact you as soon as possible.

Request a Manual

Please complete the form below and a representative will contact you as soon as possible.

Request a Quote

Please complete the form below and a representative will contact you as soon as possible.